К.С. Айнабек
Теория общественного хозяйствования
(Альтернатива экономической теории и экономикса)
Учебник: исправл. и дополн. – Караганда: КЭУК, 2014. – 608с.
| Предыдущая |
Раздел 2. Методология социализации рыночного хозяйствования
Глава 12. Методы формирования баланса агрегированных частей национальной экономики
12.2. Планирование агрегированных частей в национальной экономике
Стабильно развивающаяся политика и государственное регулирование экономики должны основываться на планах, формирующихся посредством моделей, определяющих условия простого и расширенного воспроизводства, отклонения развития отраслей и подразделений от их общественно необходимых или объективно предельных величин (норм). Поскольку реальный экономический рост национальной экономики характеризуется взаимообусловленными и взаимосвязанными показателями, то эти величины должны предопределяться пропорциями гармоничного развития. Поэтому рост ВВП или ВНП еще не означает реальный процесс национальной экономики, а всего лишь характеризует изменение денежной единицы объема производства и услуг за промежуток времени в сопоставлении с прошлым периодом.
ВВП и ВНП вне системы экономических показателей, характеризующих процесс простого или расширенного воспроизводства общественного производства, представляют информацию «кривых зеркал», искажающую действительность. В связи с этим Т.А.Агапова в определенной степени права, когда отмечает, что «стабилизирующая политика может оказаться эффективной лишь в том случае, если правительство и Центральный банк лучше информированы о шоках совокупного спроса и предложения, чем рядовые экономические агенты. Если же этого преимущества в информации нет, то фискальная или монетарная политика не сможет улучшить экономическую ситуацию»[1, с. 333]. Однако «шок совокупного спроса и предложения» всего лишь поверхностное проявление предстоящего кризиса. Причины нужно искать в глубинных слоях: определении условий воспроизводства, установлении пропорций отраслей и подразделений в структуре национальной экономики, выявлении их отклонений от общественно необходимых норм. Вместе с тем, рассматриваемые вышеприведенным автором[1] трудности практического значения, связанные с экономической стабилизацией, как временные лаги фискальной и монетарной политики, несовершенство экономической информации, изменчивость экономических ожиданий, неоднозначность исторических аналогий, разрешимы при условии знания и соблюдения основ простого и расширенного воспроизводства, овладения механизма использования экономических законов.
Ниже предлагается модель, которая позволит определить на планируемый период соотношение частей в структуре отраслей и межотраслевое соотношение на основе фактических данных и общественно необходимых или объективно предельных затрат труда, а также составные части подразделений или секторов и распределяемые доходы в формах фонда накопления, потребления и резервного. Это можно проиллюстрировать в таблице 10, которая представлена четырьмя квадрантами. В I квадранте Р — отрасли; R — налоги; М — прибыль; V — оплата труда; А — амортизационные отчисления; У — промежуточный продукт; Z — конечный продукт; Х–выпуск (валовой продукт); r — коэффициент определения налогов; m — коэффициент определения прибыли; v — коэффициент оплаты труда; а — коэффициент определения амортизационных отчислений; у — коэффициент определения промежуточного продукта; z — коэффициент определения конечного продукта. Во II квадранте: С — подразделения или сектора.
Таблица 11
Межотраслевое соотношение в агрегированной структуре национальной экономики на основе составных частей валовых продуктов и их общественно необходимых величин
|
I квадрант |
|||||||||||||||
|
I квадрант |
|
R |
M |
V |
A |
Y |
Z |
X |
|||||||
|
P1 |
r1X1 |
m1X1 |
v1X1 |
a1X1 |
y1X1 |
z1X1 |
X1 |
||||||||
|
P2 |
r2X2 |
m2X2 |
v2X2 |
a2X2 |
y2X2 |
z2X2 |
X2 |
||||||||
|
Pn-1 |
rn-1Xn-1 |
mn-1Xn-1 |
vn-1Xn-1 |
an-1Xn-1 |
yn-1Xn-1 |
zn-1Xn-1 |
Xn-1 |
||||||||
|
Pn |
rnXn |
mnXn |
vnXn |
anXn |
ynXn |
znXn |
Xn |
||||||||
|
ΣP |
Rp |
Mp |
Vp |
Ap |
Yp |
Zp |
Xp |
||||||||
|
|
|
|
|
|
|
|
|
|||||||
|
II квадрант |
СI |
Rc1 |
Mc1 |
Vc1 |
Ac1 |
Yc1 |
Zc1 |
Xc1 |
|||||||
|
СII |
Rc2 |
Mc2 |
Vc2 |
Ac2 |
Yc2 |
Zc2 |
Xc2 |
||||||||
|
СIII |
Rc3 |
Mc3 |
Vc3 |
Ac3 |
Yc3 |
Zc3 |
Xc3 |
||||||||
|
СIV |
Rc4 |
Mc4 |
Vc4 |
Ac4 |
Yc4 |
Zc4 |
Xc4 |
||||||||
|
СV |
Rc5 |
Mc5 |
Vc5 |
Ac5 |
Yc5 |
Zc5 |
Xc5 |
||||||||
|
СVI |
Rc6 |
Mc6 |
Vc6 |
Ac6 |
Yc6 |
Zc6 |
Xc6 |
||||||||
|
СVII |
Rc7 |
Mc7 |
Vc7 |
Ac7 |
Yc7 |
Zc7 |
Xc7 |
||||||||
|
СVII |
Rc8 |
Mc8 |
Vc8 |
Ac8 |
Yc8 |
Zc8 |
Xc8 |
||||||||
|
СIX |
Rc1 |
Mc9 |
Vc9 |
Ac9 |
Yc9 |
Zc9 |
Xc9 |
||||||||
|
ΣС |
Rc |
Mc |
Vc |
Ac |
Yc |
Zc |
Xc |
||||||||
|
II квадрант |
|||||||||||||||
|
III квадрант |
|||||||||||||||
|
Y+A |
V+M+R |
|
k |
X1 |
|
|
III квадрант |
||||||||
|
y1X1 + a1X1 |
v1X1+m1X1+r1X1 |
y1x1+a1x1 v1x1+m1x1+r1x1 |
k1 |
X11 |
|
P1 |
|||||||||
|
|
|
|
|
|
P2 |
|||||||||
|
|
|
|
|
|
Pn-1 |
|||||||||
|
ynXn + anXn |
vnXn+mnXn+rnXn |
ynxn+anxn vnxn+mnxn+rnxn |
kn |
Xn |
|
Pn |
|||||||||
|
Σ(y+A) p |
Σ(V+M+R) р |
|
kp |
Xn |
|
ΣP |
|||||||||
|
|
|
|
|
|
СI |
IV квадрант |
||||||||
|
|
|
|
|
|
СII |
|||||||||
|
|
|
|
|
|
СIII |
|||||||||
|
|
|
|
|
|
СIV |
|||||||||
|
|
|
|
|
|
СV |
|||||||||
|
|
|
|
|
|
СVI |
|||||||||
|
|
|
|
|
|
СVII |
|||||||||
|
|
|
|
|
|
СVII |
|||||||||
|
|
|
|
|
|
СIX |
|||||||||
|
R (Y+M) |
R (V+M) |
R+Δ |
|
|
|
R+Δ |
|||||||||
|
IV квадрант |
|||||||||||||||
В III квадранте: k — коэффициент приведения индивидуальных
затрат к общественно необходимым величинам;
—
общественно необходимые
величины выпуска — валового продукта. В IV квадранте:
— фонд накопления;
— фонд потребления; (R + Δ) — фонд
резервный.
По I квадранту можно составить экономико-математическую модель (117) «системы линейного уравнения, определения составных частей валовых продуктов».

По II квадранту составляется модель (118) — «система линейного уравнения определения на основе составных частей валовых продуктов подразделений или секторов». Здесь отметим, что для II квадранта исходными величинами являются данные I квадранта.

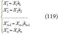
В III квадранте на основе данных I квадранта определяется k — коэффициент приведения индивидуальных затрат к общественно необходимой величине и общественно необходимую величину валовых продуктов (Х')

Модель (119) — системы линейных уравнений определения общественно необходимых величин валовых продуктов.
По IV квадранту осуществляется распределение фондов накопления, потребления, резервного на основе данных налогов по I квадранту.
III квадрант позволяет сделать расчеты общественно необходимых затрат труда и определить в II квадранте условия обмена и распределения между подразделениями в обеспечении расширенного воспроизводства. Эти условия могут быть учтены в распределении и перераспределении доходов.
А теперь покажем вышеприведенные модели в трансформационном виде для использования при планировании.
Таблица 12
Модель определения составных частей отраслей и структуры национальной экономики на основе их коэффициентов базисного года для планирования на последующий год
|
№ |
|
r |
M |
V |
a |
y |
z |
X |
k |
x |
Xп |
|
1 |
Р1 |
r1 |
M1 |
V1 |
a1 |
y1 |
z1 |
X1 |
k1 |
x1 |
X1п |
|
2 |
Р2 |
r2 |
M2 |
V2 |
a2 |
y2 |
z2 |
X2 |
k2 |
x2 |
X2п |
|
3 |
Р3 |
r3 |
M3 |
V3 |
a3 |
y3 |
z3 |
X3 |
k3 |
x3 |
X3п |
|
4 |
Р4 |
r4 |
M4 |
V4 |
a4 |
y4 |
z4 |
X4 |
k4 |
x4 |
X4п |
|
5 |
Р5 |
r5 |
M5 |
V5 |
a5 |
y5 |
z5 |
X5 |
k5 |
x5 |
X5п |
|
6 |
Р6 |
r6 |
M6 |
V6 |
a6 |
y6 |
z6 |
X6 |
k6 |
x6 |
X6п |
|
7 |
Р7 |
r7 |
M7 |
V7 |
a7 |
y7 |
z7 |
X7 |
k7 |
x7 |
X7п |
|
8 |
Р8 |
r8 |
M8 |
V8 |
a8 |
y8 |
z8 |
X8 |
k8 |
x8 |
X8п |
|
9 |
Р9 |
r9 |
M9 |
V9 |
a9 |
y9 |
z9 |
X9 |
k9 |
x9 |
X9п |
|
10 |
Р10 |
r10 |
M10 |
V10 |
a10 |
y10 |
z10 |
X10 |
k10 |
x10 |
X10п |
|
11 |
Р11 |
r11 |
M11 |
V11 |
a11 |
y11 |
z11 |
X11 |
k11 |
x11 |
X11п |
|
12 |
Р12 |
r12 |
M12 |
V12 |
a12 |
y12 |
z12 |
X12 |
k12 |
x12 |
X12п |
|
13 |
Р13 |
r13 |
M13 |
V13 |
a13 |
y13 |
z13 |
X13 |
k13 |
x13 |
X13п |
|
14 |
Р14 |
r14 |
M14 |
V14 |
a14 |
y14 |
z14 |
X14 |
k14 |
x14 |
X14п |
|
15 |
Р15 |
r15 |
M15 |
V15 |
a15 |
y15 |
z15 |
X15 |
k15 |
x15 |
X15п |
|
16 |
ΣР |
rΣ |
MΣ |
VΣ |
a Σ |
yΣ |
zΣ |
XΣ |
kΣ |
xΣ |
XΣп |
В начале выделим I квадрант как отдельную таблицу, в которую будем вводить коэффициенты определения составных частей валовых (выпусков) продуктов отраслей по материалам статистического сборника, отражающим развитие национальной экономики. Затем по данным сведениям легко сравнить плановые результаты на будущий год, то есть с фактическими данными, что покажет степень достоверности этого метода в планировании.
Через Хр обозначим выпуск в основных ценах
итога по отраслям, на которую будем делить результаты выпуска отраслей в
отдельности для получения коэффициента определения выпуска продукта отрасли на
планируемый год. Так, например, если Х1 — выпуск продукта
конкретной отрасли, k — коэффициент приведения индивидуальных затрат к
общественно необходимым величинам, то коэффициент определения выпуска на
планируемый год (
) определиться по
следующей формуле:
![]()
А выпуск продукции планируемого года данной отрасли (
) можно определить по формуле:
, (121)
где
— плановый выпуск в основных ценах итога
по отраслям на планируемый год.
Далее, как пример, через Р обозначим отрасли:
P1 — сельское, лесное и рыбное хозяйство; Р2 — промышленность;
Р3 — производство и распределение электроэнергии, газа и воды;Р4 — строительство; Р5 — торговля; ремонт автомобилей и изделий домашнего использования; Р6 — транспорт и складирование; Р7 — искусство, развлечения и отдых; Р8 — здравоохранение и социальные услуги; Р9 — операции с недвижимым имуществом, аренда и услуги предприятиям; Р10 — финансовая деятельность; Р11 — государственное управление и оборона; обязательное социальное обеспечение; Р12 — водоснабжение; канализационная система, контроль над сбором и распределением отходов; Р13 — информация и связь;
Р14 — деятельность в области административного и вспомогательного обслуживания; Р15 — образование; Р16 - предоставление прочих видов услуг.ΣР — совокупность отраслей.
На основе коэффициентов составных частей (табл. 11) и валового выпуска отраслей национальной экономики, а также предполагаемого роста валового общественного продукта можно определить планируемые стоимостные показатели. Однако, получаемые планируемые показатели могут отклоняться от будущих фактических данных, поскольку на них воздействуют спрос и предложение и закон стоимости.
По имеющимся статистическим данным отраслей, например, в Казахстане возможна их группировка только на 5 подразделений: I — производство средств производства; II — производство предметов потребления;
III — производственные услуги;IV — непроизводственные услуги;V — товарное обращение.
Конечно, сокращение с IX [2, с. 70] до V подразделений несколько деформирует видение процесса воспроизводства, однако и это упрощение позволит в основе представить условия расширенного воспроизводства в национальной экономике, например, Казахстана.
Теперь представим условия простого и расширенного воспроизводства национальной экономики на основе V подразделений. Эти условия должны быть следующими [2, с. 150–156]:

где С1 — амортизационные отчисления; С2 — промежуточный продукт; V — заработная плата; m — прибыль; W — выпуск — валовой продукт; Wср — средняя величина из валовых продуктов и подразделений.
Знак «равенства» (=) означает условия простого воспроизводства в вышеприведенных позициях, а «большего» (>) —расширенное воспроизводство.
Далее для определения диспропорциональности развития экономики можно использовать в исследовании соотношения валового выпуска отраслей и национальной экономики к общественно необходимой или объективно предельной величине, которые приведены в таблице 13.
Таблица 13
Соотношение валового выпуска отраслей и национальной экономики Республики Казахстан к общественно необходимой величине за 2011 год (в %)*
|
№ |
Отрасли |
|
№ |
Отрасли |
|
|
1 |
Сельское, лесное и рыбное хозяйство |
99,9 |
10 |
Финансовая деятельность |
124,7 |
|
2 |
Промышленность |
67,9 |
11 |
Государственное управлениеи оборона; обязательноесоциальное обеспечение |
55 |
|
3 |
Производство и распределение электроэнергии, газа и воды |
65,7 |
12 |
Водоснабжение; канализационная система, контроль над сбором и распределением отходов |
53 |
|
4 |
Строительство |
76,5 |
13 |
Информация и связь |
116 |
|
5 |
Торговля; ремонт автомобилей и изделий домашнего использования |
118,6 |
14 |
Деятельность в области административного и вспомогательного обслуживания |
259 |
|
6 |
Транспорт и складирование |
103,4 |
15 |
Образование |
233 |
|
7 |
Искусство, развлечения и отдых |
303 |
16 |
Предоставление прочих видов услуг |
307,7 |
|
8 |
Здравоохранение и социальные услуги |
186,6 |
17 |
Итоги по отраслям |
93,4 |
|
9 |
Операции с недвижимым имуществом, аренда и услуги предприятиям |
909 |
18 |
Всего с учетом налогов на продукты |
36,2 |
———————
*Рассчитано и составлено на основе авторских методов и данных из источника Агентства РК по статистике[4].
В отраслях, относящихся к промышленности, производству и распределение электроэнергии, газа и воды, строительству, сельскому, лесному и рыбному хозяйству, произошло снижение фактических данных выпуска за 2011год по сравнению с их объективными величинами в соответствии до 67,9%; 65,7%; 76,5%; 99,9%, что, конечно, усиливает диспропорциональность развития национальной экономики. При этом превышение фактических данных выпуска в других отраслях также усугубляют положение в экономике. Так, например, превышение фактического выпуска по сравнению с объективно предельной величиной в 9 раз в деятельности «Операции с недвижимым имуществом, аренда и услуги предприятиям», 3 раза – «Искусство, развлечения и отдых», «Предоставление прочих видов услуг», 2,6 раза – «Деятельность в области административного и вспомогательного обслуживания», 1,2раза – «Финансовая деятельность» также влияют на формирование диспропорционального развития национальной экономики и экономического кризиса.
Поэтому необходимо, что бы планирование должно базироваться на фундаментальной теории простого и расширенного воспроизводства общественного производства и методах сопоставления фактического выпуска с их объективно предельными величинами, которые позволят видеть пропорции на уровне агрегированных частей макроэкономики и вести коррекцию в формировании социально ориентированной рыночной экономики.
Понятия и термины
Фонд накопления; фонд потребления; фонд резервный; агрегированная структура национальной экономики; агрегированные части общественного производства; модель межотраслевого баланса; планирование; шок совокупного спроса и предложения; стабилизирующая экономическая политика.
Рассматриваемые вопросы
1. Основы формирования соотношения агрегированнных частей в структуре национальной экономики.
2. Моделирование межотраслевого баланса.
3. Планирование межотраслевого соотношения в структуре национальной экономики.
Вопросы к семинарским занятиям
1. Значение определения межотраслевого соотношения в структуре национальной экономики.
2. Необходимость определения соотношения частей подразделений в воспроизводственном процессе.
3. Методы планирования агрегированных частей в структуре национальной экономики.
Упражнения
Ответьте на поставленные вопросы и определите вид проблемы (научная или учебная), обоснуйте свою точку зрения, выявите систему проблем по теме.
1. Чем отличаются структуры национальной экономики на основе подразделений и отраслей?
2. Какое различие между межотраслевым балансом и межотраслевым соотношением в структуре общественного производства?
3. Почему необходимо учитывать при планировании межотраслевое соотношение на основе общественно необходимых затрат труда и отраслевой структуризации, классификации по подразделениям?
Темы для рефератов
1. Межотраслевой баланс в развитии национальной экономики.
2. Баланс агрегированных частей структуры общественного производства.
Литература
1. Курс экономической теории/Под ред. А.В. Сидоровича. - М., 2001.
2. Айнабек К.С. Диалектика рыночной экономики. - Астана, 2001.
3. Маркс К. Капитал. Т.2. - М., 1984.
4. Национальные счета Республики Казахстан /Статистический сборник/ на казахском и русском языках / Астана .-2013, с.41-44.
| Предыдущая |

