А.В. Катаев Т.М. Катаева
Управление проектами на базе динамической сети партнеров. Монография.
| Предыдущая |
3.2. Механизмы поиска оптимального распределения проектных работ по исполнителям
Проблемы оптимального распределения работ (заказов, проектов, задач) по совокупности исполнителей (агентов, партнеров) математически могут быть сформулированы в виде различных задач о назначениях.
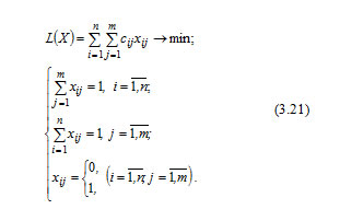
Классическая постановка однокритериальной задачи о назначениях в исследовании операций состоит в нахождение пар «Исполнитель – Работа», которые обеспечивают минимум суммарных затрат на выполнение всех работ, причем каждый исполнитель выполняет только одну работу и для одной работы требуется только один исполнитель. То есть исполнители не делимы между работами, а работы не делимы между исполнителями. Таким образом, задача о назначениях является частным случаем транспортной задачи. Задачи о назначениях имеют место при назначении людей на должности или работы, бригад ни строительные объекты, автомашин на маршруты, водителей на автомобили и т.п.
В табл. 3.1 приведена матрица задачи о назначениях по типу транспортной задачи.
Таблица 3.1
Общий вид матрицы задачи о назначениях
Исполнители, |
Работы, |
Количество исполнителей, |
|||
|
|
… |
|
||
|
|
|
… |
|
1 |
|
|
|
… |
|
1 |
… |
… |
… |
… |
… |
… |
|
|
|
… |
|
1 |
Количество работ, |
1 |
1 |
… |
1 |
|

Пример задачи:
Необходимо распределить заказы по партнерам, чтобы суммарная стоимость (цена, внутренняя стоимость) выполнения совокупности заказов (задач) была минимальна. Решение данной задачи предполагает, что:
- сроки, объемы и качество выполнения фиксированы для каждого заказа (устанавливаются заказчиком либо менеджером как необходимое требование);
- возможность выполнения и стоимость (внутренняя стоимость) выполнения определенного заказа сообщается каждым партнером после предоставления требований и условий заказа (можно через аукционы) либо известна заранее по каждому партнеру для типовых заказов (например, тарифы для перевозок груза, цена на размещения рекламных сообщений, расценки по аренде помещений и т.п.);
Следует заметить, что для решения данной задачи с помощью модели (3.21) n должно равняться m. В случае несовпадения количества исполнителей и работ, необходимо ввести либо фиктивные работы, либо фиктивных исполнителей с присвоением заведомо больших значений (запрет) – больше максимального не фиктивных значений.
Задача о назначениях в таком виде может быть решена с помощью венгерского метода, симплекс-метода и др. В некоторых случаях, например, когда – это компетентность, опыт работы, или квалификация работников, условие задачи может требовать максимизации ЦФ. В этом случае ЦФ заменяется на и решают задачу с ЦФ , что равносильно решению задачи с ЦФ .



.


К недостаткам модели и метода решения, предложенного Ларичевым О.И., можно отнести следующее:
1. Для упорядочения претендентов используется грубая порядковая шкала. На практике же критерии могут иметь численные значения и измеряться в интервальной шкале. В этом случае интересует не только число имеющихся совпадений значений, но и величина несовпадения.
2. Предполагается однородность оценок несовпадения. Как правило, критерии разнородны и нуждаются в нормализации.
3. Предполагается равная значимость критериев в векторах xi и yj. На практике критерии, характеризующие возможности исполнителя и требования со стороны работы, как правило, неравноценны. То есть необходимо учитывать значимость (важность) этих критериев.
4. Ориентация только на совпадение предложений с требованиями с заданием точечных значений. В случае если есть исполнитель, который полностью соответствует требованиям, и исполнитель с характеристиками выше требований, то предпочтение будет отдано первому, а не второму.
Перечисленные недостатки сужают область применения данной модели и метода решения. Они могут быть использованы только в частных случаях задачи распределения заказов в рамках виртуального предприятия.
Задачи распределения заказов, сформулированных в виде задач целочисленного линейного программирования, могут быть так же сформулированы на случай множества критериев оптимальности. Ниже рассмотрим некоторые подходы и примеры решения многокритериальных задач (задач многокритериального выбора).
Для решения многокритериальных задач оптимизации известен ряд методов, которые можно условно разделить на четыре группы:
1. Сведение многих критериев к одному, например, путем аддитивной свертки с применением весовых коэффициентов важности для каждого критерия.
2. Минимизация абсолютных или относительных отклонений от наилучших значений по всем критериям.
3. Оптимизация только одного критерия, а остальные критерии выступают в роли дополнительных ограничений.
4. Ранжирование множества критериев и последовательная оптимизация по каждому из них. Например, для первого по важности критерия находится оптимальное значение целевой функции, которое становится дополнительным ограничением при поиске оптимального решения по второму критерию и так далее.

Учитывая, что значения критериев имеют различные единицы измерения, они приведены к безразмерному виду и произведена их свертка с учетом важности каждого критерия. В результате получена матрица интегральных коэффициентов (суперкритериев) D, элементы которой можно получить по следующей формуле:

В модели (3.28) учтены в виде ограничений выдвигаемые заказчиком или руководством требования по стоимости заказа, времени и качеству выполнения каждого заказа. В модели не требуется совпадение количества исполнителей и работ.
В (3.28) могут быть добавлены, к примеру, следующие условия:
- ограничения на количество типовых заказов ki, которые может взять каждый партнер:

- учет невозможности выполнения работы j партнером i с помощью присвоения соответствующим заведомо больших значений (больше максимального ) либо путем прямого введения в модель дополнительного ограничения вида
;
- учет принятого ранее решения по закреплению конкретной работы j за определенным исполнителем i путем присвоения соответствующему значений меньше минимального либо заданием условия вида
.
Однокритериальные и многокритериальные задачи о назначениях могут ставиться с рядом других целевых функций и дополнительных условий, часть из которых будет рассмотрена далее.
[1] D.R. Fulkerson, I. Glicksberg, and O. Gross. A production line assignment problem. Tech. Rep. RM-1102, The Rand Corporation, Santa Monica, CA, 1953.
[2] R. Garfinkel. An improved algorithm for the bottleneck assignment problem. Oper. Res., 19:1747–1751, 1971.
[3] O. Gross. The bottleneck assignment problem. Tech. Rep. P-1630, The Rand Corporation, Santa Monica, CA, 1959.
[4] Ларичев О.И. Теория и методы принятия решений, а также Хроника событий в волшебных странах. М.: Логос, 2003. 392 с.
[5] Микони С.В. Теория и практика рационального выбора: монография. М.: Маршрут, 2004. 463 с.
[6] Черняк Л., Сердечкина Н., Кожухаров А., Патрикеева Т. Модель процесса подготовки рукописи в издательстве // Алгоритмы и модели управления в технических и организационных системах. М., 1976.
[7] Ларичев О.И. Теория и методы принятия решений, а также Хроника событий в волшебных странах. М.: Логос, 2003. 392 с.
[8] Катаев А.В. Информационные системы и модели оптимизации распределения заказов в партнерской сети виртуального предприятия // Прикладная информатика. 2007. № 5 (11). С. 11-22.
| Предыдущая |

