А.В. Катаев Т.М. Катаева
Управление проектами на базе динамической сети партнеров. Монография.
| Предыдущая |
2.2. Организационные механизмы поиска деловых партнеров, их оптимального отбора и объединения для участия в проекте
Для решения приведенных в предыдущем параграфе проблем в деятельности динамической партнерской сети, которые чаще всего возникают при организации и управлении долгосрочными сетевыми стриктурами, авторами данного монографического исследования предлагается реализовать определенную систему отбора и объединения партнеров, решающую две взаимосвязанные и взаимодополняющие задачи:
1. Привлечение новых участников динамической сети, обладающих ключевыми компетенциями для эффективного выполнения отдельных задач, возможных рыночных заказов и для функционирования долгосрочного виртуального предприятия в целом.
2. Оптимальный отбор и объединение исполнителей и партнеров, обладающих ключевыми компетенциями для выполнения конкретного рыночного заказа, в соответствии с целями и задачами проекта.
Задача оптимального отбора и объединение исполнителей и партнеров разделяются на следующие этапы[1]:
1. Определение необходимых ключевых компетенций и ресурсов, требующихся для выполнения задач и требований проекта.
2. Поиск среди участников динамической сети потенциальных исполнителей и партнеров, обладающих требуемыми ключевыми компетенциями и ресурсами для выполнения рыночного заказа.
3. Оценка ключевых компетенций и ресурсов потенциальных исполнителей и партнеров с целью отбора партнеров, которые наилучшим образом могут выполнить определенные задачи.
4. В случае отсутствия в динамической сети подходящих ключевых компетенций и ресурсов производится поиск и оценка потенциальных исполнителей и партнеров вне динамической сети.
5. Привлечение потенциальных исполнителей и партнеров.
6. Оптимальный отбор исполнителей и партнеров в соответствии с целями и задачами проекта, ограничениями по времени, стоимости, качеству исполнения и т.п.
7. Объединение исполнителей и партнеров для выполнения рыночного заказа или проекта.
Для организации и управления проектами в рамках долгосрочной динамической сети партнеров рекомендуется воспользоваться методикой организации процесса выполнения заказов[2], укрупненные блоки которой отражены на рис. 2.1, и организовать механизмы контроля исполнения проектов.
В предложенной методике под заказом понимается заявка на выполнение определенной работы, задачи или проекта, поступившая от внешнего заказчика, центра управления или участника сетевой структуры (внутренние заказы).
При распределении заказов в рамках сети выделяются три вида задач:
1) задачи оперативного выбора партнера (агента), который наилучшим образом может выполнить поступивший заказ;
2) задачи оптимального распределения совокупности заказов по совокупности партнеров за определенный период времени, когда один заказ полностью выполняется только одним партнером и заказы не связаны и независимы;
3) задачи оптимального распределения заказа по партнерам, когда один заказ требует участия нескольких агентов.
Для решения указанных задач авторами были самостоятельно организованы и проведены исследования в указанной области, результатом которых являлась разработка концептуальной модели организации и управления функционированием долгосрочного виртуального предприятия как социально-экономической системой, а также ряд однокритериальных и многокритериальных моделей распределения типовых заказов в рамках проектов, учитывающих такие параметры, как время, качество и стоимость его реализации .

Рис.2.1. методика организация процесса выполнения заказов
Дальнейшие проведенные авторами исследования в области формирования и функционирования динамических партнерских сетей привели к разработке процедуры комплексной оценки деятельности ее партнеров, которая позволяет принимать обоснованные управленческие решения по включению в сеть и исключению из нее таких партнеров, а также дает возможность обосновать выбор исполнителей для выполнения отдельных работ в рамках реализуемых заказов.
По мнению ее авторов, применение данной процедуры на практике позволяет сделать обоснованный вывод об уровне компетенции потенциального партнера виртуального предприятия. Рассмотрим ее более подробно.
Данная процедура определяет необходимость формирования перечня показателей, которые наилучшим образом в соответствии с целями создания сетевой структуры позволят охарактеризовать состояние потенциального ее участника до его включения в сеть, оценить работу возможного предприятия-партнера в рамках такой сети и при этом образуют некую законченную совокупность. Значение и вес отдельных показателей при оценке основных видов и характеристик деятельности агентов для различных партнерских сетей могут быть разными, следовательно, в каждом конкретном случае в зависимости от специфики функционирования виртуального предприятия требуется производить индивидуальный отбор, оценку и ранжирование показателей деятельности агентов.
Проведенные исследования функционирования динамических партнерских сетей в разных сферах деятельности позволили нам выделить некоторые общие комплексные показатели (Хi), которые характеризуют деятельность агента партнерской сети и могут быть использованы для создания описанной выше системы[4]:
1. Уровень компетенции агента. Показатель может оцениваться на основе мнения других участников сети, бывших и настоящих клиентов и заказчиков, независимых экспертов, а также с помощью проведения оценки ресурсов агента, тестовых заказов и др.
2. Надежность агента. В рамках функционирования в партнерской сети данный показатель можно рассчитать как отношение количества успешно выполненных заказов (задач) агентом к общему количеству принятых им же заказов.
3. Величина агента. Группа показателей, характеризующих мощность, ресурсный потенциал и (или) размер агента. Могут определяться на основе выполнения количества типовых заказов за единицу времени, имеющегося количества определенных ресурсов и др.
4. Автономность. Показатель, характеризующий степень самостоятельности агента при выполнении конкретных задач в рамках компетенции.
5. Коммуникабельность агента. Данная характеристика может рассчитываться как отношениеколичества прямых деловых связей с другими агентами партнерской сети к общему количеству агентов сети либо к количеству связей в сети за определенный период времени.
6. Конфликтность агента. Определить количественно данный показатель можно черезотношение числа конфликтных ситуаций, требующих вмешательства администрации, к общему количеству таких ситуаций по сети за определенный период времени.
К перечисленным выше показателям в случаях, когда мы знаем заранее, по какой цене, в какие сроки партнер может выполнить определенную работу в рамках заказа, целесообразно добавлять следующие усредненные характеристики по выполняемым работам[5]:
1. Средняя стоимость типовой работы определенного вида.
2. Средняя продолжительность выполнения заказа.
3. Оценка качества выполняемых работ.
Классифицированные по группам показатели могут образовывать иерархию, однако в простейшем случае они составляют неупорядоченный перечень. Решение о включении каждого из них в систему оценки деятельности агентов, а также определение их значимости посредствам присвоения весовых коэффициентов происходит с учетом специфики функционирования виртуального предприятия, а также особенностей выполняемого заказа.
Необходимо учесть, что использование описанной выше процедуры оценки деятельности партнеров осуществляется в условиях неопределенности, так как произвести сбор полной, точной, актуальной и достоверной информации по независимым и автономным агентам на практике не представляется возможным. В качестве источников информации здесь должны быть использованы как результаты самообследования потенциальных и (или) фактических участников партнерской сети, так и независимой экспертизы.
Решением данной проблемы может служить процедура оценки потенциальных агентов по выделенным показателям, объединяющая результаты экспертиз (экспертные оценки) и фактические данные по результатам деятельности агентов в рамках партнерской сети и вне ее. Данная процедура основана на использовании вербально-числовой шкалы, которая позволяет измерить степень интенсивности какого-либо параметра, имеющего субъективный характер.
Результатом проведения данной процедуры является определение рейтинга агента – интегрального показателя, значение которого позволяет сделать обоснованный вывод об уровне компетенции участника виртуального предприятия.
Рассмотрим подробней реализацию такой процедуры. В первую очередь, следует заметить, что требуется проведение оценки деятельности агента по каждому виду работ, осуществляемой им в рамках партнерской сети. Далее, по умолчанию предполагается, что рост отдельного показателя Хi влечет к улучшению деятельности рассматриваемого партнера. Если для отдельного показателя наблюдается противоположная тенденция, то его следует заменить сопряженным.
Определим для каждого показателя деятельности агента (Хi) уровень его значимости для анализа (ri). Чтобы оценить этот уровень, нужно расположить все показатели по порядку убывания значимости так, чтобы выполнялось правило
(2.1)
Если система показателей проранжирована в порядке убывания их значимости, то значимость i-го показателя ri следует определять по правилу Фишберна:
(2.2)
где N – количество оцениваемых показателей.
Например, для системы с N, равным 3, r1 = 6/12, r2 = 4/12, r3 = 2/12 и сумма уровней значимости равна единице.
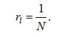
Правило Фишберна отражает тот факт, что об уровне значимости показателей известно только (2.1) и более ничего. Тогда оценка (2.2) будет отвечать максимуму энтропии наличной информационной неопределенности об объекте исследования. Если же все показатели обладают равной значимостью, тогда:
(2.3)
Далее будем оценивать показатель с помощью качественной шкалы. Если показатель был рассчитан количественно, тогда следует отдельно определить процедуру перевода его в качественную шкалу. Качественная оценка показателей деятельности участников виртуального предприятия строиться на субъективном мнении экспертов, которые должны оценить показатели компетенций агента временной сети, используя следующие варианты: очень низкий, низкий, средний, высокий и очень высокий. В соответствие с данной оценкой заполняем табл. 2.1, где величина lij может принимать значения 1 или 0.
Таблица 2.1
Качественная оценка уровня показателей деятельности агентов партнерской сети
Наимен. показателя |
Вес |
Уровень показателя |
||||
Очень низкий |
Низкий |
Средний |
Высокий |
Очень высокий |
||
Х1 |
r1 |
l11 |
l12 |
l13 |
l14 |
l15 |
… |
… |
… |
… |
… |
… |
… |
Хi |
ri |
li1 |
li2 |
li3 |
li4 |
li5 |
… |
|
… |
… |
… |
… |
… |
ХN |
rN |
lN1 |
lN2 |
lN3 |
lN4 |
lN5 |
Правильность заполнения табл. 2.1 определяется суммой значений всех столбцов и строк таблицы, которая должна быть равна N. Табл. 2.1 представляет собой карту агента партнерской сети, на которой отмечены как достоинства агента, так и его слабые стороны по определенной компетенции. При наличии нескольких компетенций у агента для каждой из них составляется своя карта агента.
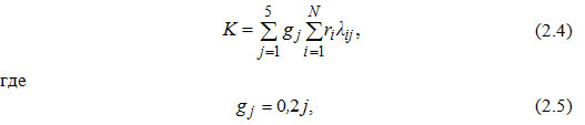
В целях сравнительного анализа и отбора агентов по одной и той же компетенции требуется рассчитать интегральный показатель, который можно получить, выполнив двойную свертку данных табл. 2.1:
\
lij определяется по таблице 1, а ri – по формуле (2.2) или (2.3).
В ходе свертки используются две системы весовых коэффициентов – значимость показателей и опорные веса (2.5) для сведения нескольких отдельных показателей в один.
В табл. 2.2 приведен классификатор уровня интегрального показателя, настроенный на систему весов (5):
Таблица 2.2
Классификатор уровня агента
Интервал значений |
Заключение об уровне агента (участника сети) |
[0 - 0.2] |
Очень низкий уровень агента |
[0.2 – 0.4] |
Низкий уровень агента |
[0.4 – 0.6] |
Средний уровень агента |
[0.6 – 0.8] |
Высокий уровень агента |
[0.8 – 1] |
Очень высокий уровень агента |
Таким образом, внедрение предложенной системы показателей и процедуры оценки партнеров в систему управления виртуальной организацией позволяют перейти к обоснованному принятию решений по формированию и развитию партнерской сети.
[1] Катаев А.В. Модели организации деятельности виртуальных предприятий // Научно-технические ведомости Санкт-Петербургского государственного политехнического университета. Экономические науки. 2008. № 5 (64). С. 311-316. Теория систем и системный анализ в управлении организациями: справочник/ под ред. В.Н. Волковой и А.А.Емельянова. М.: Финансы и статистика; ИНФРА-М, 2009. 848 с.
[2] Катаев А.В. Виртуальные бизнес-организации. – СПб.: Изд-во Политехнического университета, 2009. – 120 с.
[3] Катаев А.В. Исследование и разработка моделей для организации и управления виртуальными предприятиями: дис. … канд. экон. наук: 05.13.10: защищена 10.09.08, утв. 21.11.08. СПб.: 2008. 147 с.
[4] Катаев А.В. Виртуальные бизнес-организации. СПб.: Изд-во Политехнического университета, 2009. 120 с.
[5] Катаев А.В. Информационные системы и модели оптимизации распределения заказов в партнерской сети виртуального предприятия // Прикладная информатика. 2007. №5 (11). С. 11-22.
| Предыдущая |

