Бритченко И.Г.
Организация управления банковским рынковедением (теория, методология, методика)
| Предыдущая |
ЧАСТЬ II.
МЕТОДОЛОГИЯ УПРАВЛЕНИЯ
БАНКОВСКИМ РЫНКОВЕДЕНИЕМ
РАЗДЕЛ 3. СИСТЕМНОСТЬ КАК МЕТОДОЛОГИЯ
УПРАВЛЕНИЯ БАНКОВСКИМ ДЕЛОМ
3.1. Природа диалектического системного подхода
Во второй половине двадцатого века идеи системных исследований получили широкое распространение в науке и технике. Для первой половины двадцатого века было характерно расчленение наук на отдельные области в целях их глубокого изучения и анализа. Вместе с тем это потребовало и обратного – объединения, синтеза отдельных областей наук, часто совершенно разных. Успех сопутствовал тому, кто не разделял анализ и синтез, а рассматривал их с единой точки зрения. Это привело к выработке совокупности методологических принципов, позволяющих анализировать каждый элемент системы в его связи и взаимодействии с другими элементами, устанавливать закономерности функционирования и развития систем, изучать специфические системные качества. Все это дало возможность рассматривать сущность системного подхода в решении проблем любого характера как метода определения объектов в качестве систем и способов их исследования (описания, объяснения, предвидения, конструирования и т.д.).
Идеи системного подхода нашли конкретное воплощение в работах В.И.Вернадского, Л. фон Берталанфи, У.Росс Эшби и др. Системная проблематика прочно вошла в сознание современного ученого, инженера, практика. Ныне наука и техника имеют дело с созданием масштабных человеко-машинных систем. Промышленные предприятия и объединения, коммерческие банки относятся к этим большим системам. С позиции системного подхода они рассматриваются как нечто большее, чем простая совокупность коллектива людей, оборудования, продукции, капиталов, информации и др. Эти элементы рассматриваются синтезированно, в их взаимосвязи и развитии. Сложность управления в таких условиях преодолевается на основе применения системного подхода как метода связи управляющей и управляемой подсистем.
Особенность коммуникации субъекта и объекта управления состоит в том, что первый связан со вторым посредством особого метода – системного подхода, применение которого делает более доступным осмысление как системы организационной коммуникации, так и самого управления – их структуры, организации, связей, закономерностей функционирования и др. В этом методологическая ценность системного подхода, в основе которого лежит понятие системы.
«Система» в переводе с греческого означает целое, составленное из частей, соединение. Это понятие впервые введено Аристотелем, который отмечал, что сумма частей, называемая им «все, (в совокупности)», характеризуется тем, что положение частей в ней не создает различия. Там же, где возникает такое различие, имеет место целое.
Следовательно, возможны системы суммативные и целостные. Суммативные представляют собой неустойчивые образования, которые выражают отношения по одному признаку (например, пол, возраст, семейное положение и т.д.). Такую простую совокупность частей следует понимать как суммативную систему в отличие от системы как целостного, подлинного, органического единства.
В процессе формирования целостной структуры между сходными компонентами создается система связей, которая обусловливает ее органичное единство. Под целостной системой понимается совокупность элементов, взаимодействие которых рождает качество, отличное от качеств составляющих ее элементов.
Гегель, исследуя проблему целого, рассматривал целое и часть как непосредственное и поверхностное, категории, выражающие отношения между совокупностью предметов и связью, которая их объединяет, обусловливает появление у совокупности новых свойств и закономерностей, не присущих предметам в их разобщенности. Отсюда тип связи определяет и тип образуемого целого. В самоуправляемых системах (например, в системе управления предприятием или банком) в качестве такой связи выступает информационная, т.е. коммуникации.
Каждый элемент связи является условием другого. В сложной совокупности связей, в рамкой которой причина одновременно выступает как следствие, полагаемое есть не что иное как предпосылка. Это дает основание понимать под системой совокупность образований материального или духовного характера в их взаимосвязи, положение которых есть вместе с тем и предпосылка, имеющая сама предпосылки, развитие которых превращает ее в целостность (подлинное, органическое единство).
Связь между элементами системы органична. Изменение одного из них вызывает изменение других или системы в целом. Во взаимодействии с окружающей средой система выступает как единое целое. Если связь элемента данной системы с окружающей средой становится сильнее, то он переходит в другую систему или образует самостоятельную систему. Определяющая роль целого по отношению к части сохраняется всегда. Часть должна сообразоваться с целым, а не наоборот.
Соответственно части должны способствовать успеху целого. Соотношение целого и части определяется внутренней структурой, способом взаимосвязи, взаимодействия образующих его элементов. Структуру поэтому определяют как отношение отношений. Именно структура обусловливает общность, целостность системы, способствует возникновению интегративных системных свойств.
В рамках системы между ее частями, а так же между самой системой и ними устанавливаются отношения тождества, единства противоречия, которые при определенных условиях могут переходить друг в друга. Поэтому целое и часть представляют собой единство противоположностей. С одной стороны, целое можно рассматривать как непрерывность, совокупность элементов, связанных между собой определенным образом, а с другой, – это непрерывное прерывно, поскольку делится на части, обладающие относительной самостоятельностью, определенной степенью свободы.
Целое и часть выражает противоречивое взаимодействие общего и отдельного. Если целое рассматривается как обобщенное выражение своих частей, то общее, что объединяет их и делает частями именно данного целого, выражается в закономерностях развития и функционирования целого. В то же время частям целого присущи особенные, индивидуальные, только им свойственные черты.
Целостная система противоречива, поскольку сохраняя свою качественную определенность на какой-то период времени, она постоянно пребывает в состоянии движения, развития. Наряду со специфическими ей присущи все связи (существенные и несущественные, необходимые и случайные, гармонии и противоречия и т.д.) и свойства, изучаемые материалистической диалектикой.
Анализ литературы показывает, что основные свойства целостных систем следующие: 1) целостность – (совокупность элементов системы, составляющих органическое целое; единство, обладающее общими свойствами, отличными от свойств отдельных элементов); 2) делимость – (целостный объект всегда состоит из частей, элементов); 3) разнообразие – (каждый элемент обладает соответствующими свойствами, поведением, отличными от остальных элементов); 4) идентифицируемость – (каждый элемент системы может быть отделен от других); 5) наблюдаемость – (все входы и выходы системы либо контролируемы, либо наблюдаемы); 6) изолированность – (совокупность элементов и их связи могут быть оконтурены, отделены от окружающей среды и рассматриваться относительно); 7) возрастание энтропии – (энтропия закрытой системы, предоставленной самой себе, достигает максимума, и система приходит в состояние наибольшего беспорядка); 8) устойчивость – (способность удерживать параметры в заданных пределах); 9) устойчивость связей – (связи между элементами системы сильнее связей между элементами и окружающей средой).
Целостная система должна отвечать следующим основным условиям: 1) состоять из взаимосвязанных элементов, образующих ее внутреннюю структуру; 2) обладать общей целью всех элементов; 3) наряду с внутренними элементами иметь внешнее окружение, которое образует ее ограничение; 4) обладать определенными ресурсами функционирования; 5) возглавляться управляющим центром, обеспечивающим ее движение к намеченной цели.
По признаку сложности системы классифицируют на простые (наименее сложные), сложные (с разветвленной структурой и большим числом внутренних связей) и очень сложные (неподдающиеся точному и подробному описанию); по признаку связи – на детерминированные (все элементы взаимодействуют точно предвиденным образом) и вероятностные (точно предсказать поведение системы нельзя, но с определенной степенью вероятности можно ожидать того или иного события).
Различают закрытые и открытые системы. Открытыми называются те, которые обмениваются со средой материальными, финансовыми или информационными потоками. Если включить в систему часть среды, с которой она связана какими-либо условиями, то открытую можно преобразовать в закрытую. Рассмотренные свойства, присущие системам вообще, справедливы, например, и для экономической системы, под которой понимается совокупность производительных сил и производственных отношений соответствующих конкретному экономическому механизму (экономической технологии). Экономическая система рассматривается как часть более общей общественной системы, включающей все элементы данного социально-экономического механизма, а с другой стороны – как часть системы ресурсов для потребления общества. Экономическая система финансовых институтов целенаправленна.
Экономические системы относят к человеко-машинным системам социального характера, в которых ведущая роль отведена человеку, производителю материальных и культурных благ. Это открытые системы, поскольку в контур управления включен человек. Люди, аппарат управления выполняют функцию обратной связи.
Системный подход имеет свои принципы, методы, среди которых особенно выделяются такие как оптимальности, «черного ящика», внешнего дополнения, моделирования и др. Принцип оптимальности означает, что при выборе решения следует обеспечивать выбор наилучшего варианта воздействия на развитие и функционирование объекта. Принцип «черного ящика» состоит в том, что исследуется система, в которой доступны внешнему наблюдению лишь входные величины, а внутренние связи неизвестны. Принцип внешнего дополнения означает, что функционирование любой системы полностью описать невозможно, если рассматривать ее как обособленную, без дополнительного изучения взаимосвязей с внешней средой. Принцип моделирования широко используется в системном подходе как познавательный прием, поскольку модель отражает всю совокупность информационных процессов, протекающих в сложных системах.
Рассмотренная диалектика систем, их свойства и классификация, а также принципы системного подхода основывается на всеобщих принципах объективности, всесторонности рассмотрения предметов и явлений, рассмотрении предметов и явлений в их движении и развитии.
Исследуя предметы и явления действительности, требуется на первое место ставить объективность рассмотрения (не примеры, не отступления, а вещь сама в себе). Этот принцип диалектической логики обязателен при системном подходе. Необходимо рассматривать хозяйственные системы и их проблемы такими, какие они есть, а решения принимать объективно, без элементов субъективизма. В противном случае это наносить ущерб интересам общества.
Второй принцип диалектической логики предусматривает всесторонность рассмотрения предметов и явлений. Чтобы действительно знать предмет надо охватить, изучить все его стороны, все связи и «опосредствования». Целостное, всестороннее рассмотрение процессов, свойств и отношений при выработке решений характерно для системного подхода.
Для системного подхода характерен и третий принцип диалектики, рассматривающий предметы и явления в их движении и развитии.
Нужно смотреть на каждый вопрос с точки зрения того, как известное явление в истории возникло, какие главные этапы в своем развитии это явление проходило, и с точки зрения этого его развития смотреть, чем данная вещь стала теперь.
Поэтому в науке управления необходим не только анализ объекта, но и выявление внутренних источников его развития, движущих сил в единстве и борьбе противоположностей.
Таким образом, системный подход – методологическое требование диалектики, одна из форм конкретизации учения о всеобщей связи, движении и развитии материальной действительности и форм ее отражения в сознании человека. Она рассматривает принцип системности как один из основных компонентов любой системы. Являясь особым измерением действительности, системный подход занял достойное место наравне с другими подходами как сторона диалектического материализма, целостного мировоззрения и научной идеологии.
Это позволило раскрыть закономерности качества, многоструктурности общественных систем и развития их целостности, успешно применить в учении об общественно-экономических формациях, базисе и надстройке, стоимости, двойственном характере труда, заключенного в товаре, и т.д. Были открыты особого рода качественные определенности – системные, интегральные, которые присущи обществу как целому, системе. В этом и состоял методологический прием как особенный в изучении общественных явлений. Он показал, что закономерности общества как целостного организма, как системы рассматриваются в качестве главных, определяющих сторон диалектического метода и высшей формы качественного анализа.
Следует отметить, что сам системный подход системен. Он включает ряд взаимосвязанных аспектов. Речь идет о следующих аспектах:
- системно-элементном, отвечающем на вопрос, из чего (из каких элементов) образована система;
- системно-структурном, раскрывающем внутреннюю организацию системы, способ взаимодействия образующих ее компонентов;
- системно-функциональном, показывающем, какие функции выполняет система и образующие ее компоненты;
- системно-интегративном, раскрывающем источники, факторы сохранения, совершенствования и развития системы;
- системно-коммуникационном, где показаны взаимосвязи данной системы с другими как по горизонтали, так и по вертикали;
- системно-историческом, отвечающем на вопросы, каким образом возникла система, какие этапы проходила, каковы ее исторические перспективы.
Разумеется, в управлении системами социального порядка может быть использован один из аспектов или частная комбинация перечисленных аспектов. Однако всестороннее значение, а следовательно, и действенное практическое руководство объектом может быть обеспечено только совокупным использованием аспектов системного подхода.
3.2. Понятийный аппарат системного подхода
Методология системного подхода основана на выявлении тех аспектов предметов или событий, которые вытекают из общих свойств систем. Изучение степени развития систем и механизма их функционирования в условиях изменяющейся среды составляет основу исследования банковских систем как сложных динамических.
Науке известны восемь уровней теоретического рассуждения, которые характеризуют развитие научного мышления и показывают место системного подхода в методологии познания.
Первым уровнем является уровень статистической структуры как начало организованного теоретического знания. Второй уровень теоретического рассуждения – это уровень простой динамической системы с детерминированными необходимыми движениями. На этом уровне доминирующим является метод сравнительной статики, когда сравниваются два равновесных положения системы при различных значениях основных параметров. Этот метод получил даже особое развитие в форме экономической статистики и широко применяется в практике. Его недостаток заключается в том, что не учитывается сложная динамичность процессов в системе.
С появлением кибернетики как науки об управлении в исследовании сложных систем выделен третий уровень теоретического рассуждения – уровень управляющего механизма или кибернетической системы.
На этом уровне получило широкое распространение изучение передачи и обработки информации и определение разности между наблюдаемым, или зарегистрированным, значением выбранной переменной и ее идеальным значением.
К четвертому уровню относят уровень открытой, или самосохраняющейся системы, в которой свойство самосохранения структуры в среде непрерывно изменяющегося вещества приобретает доминирующее значение.
Этот уровень теоретического рассуждения наиболее соответствует сложности систем, однако применение его только начинает развиваться. В настоящее время авторы многих экономических монографий подчеркивают значение системного анализа, но охватывают лишь его отдельные стороны.
Развитие экономической науки будет в значительной степени зависеть от того, насколько скоро будет достигнут уровень теоретического рассуждения, соответствующий уровню самосохраняющейся структуры в меняющейся среде.
Управление в сложной динамической системе отражает такие ее основные процессы, как рост, развитие и самосохранение.
Исследование управления сложными динамическими системами на базе системного подхода означает изучение их свойств, структуры, организованности, поведения и развития с учетом взаимодействия их с окружающей средой.
В этом исследовании большое значение приобретает изучение сущности управления и его взаимосвязей с организованностью системы, роли информационных процессов и их сущности, составных частей и процессов системы, связей системы с окружающей средой и других отношений в системе, обуславливающих ее функционирование и развитие.
В отличие от существующих методов исследования системный подход позволяет обратить особое внимание на развитие системы как результата ее взаимодействия с окружающей средой и выявить недостатки в ее построении.
Поскольку банковские системы относятся к искусственным, то первостепенное значение приобретает характеристика свойств сложных динамических систем, отражающих требования к проектированию и созданию подобных систем.
Свойства сложных динамических систем могут носить общий и частный характер.
Общий характер свойств выражается в наличии доминирующих признаков, которые определяют сложность и динамичность системы и могут быть отнесены к различным видам систем.
К свойствам частного характера следует отнести особые признаки сложных динамических систем, свойственные только данному типу систем (например, только банковским системам).
Сложные динамические системы относятся к классу кибернетических систем и в зависимости от характера их взаимодействия с окружающей средой могут быть подразделены на открытые, изолированные, самонастраивающиеся и самосохраняющиеся. Характеристика и свойства этих систем приводятся в табл. 3.1.
Свойства представляют собой обобщенные группы параметров, которыми обладает или должна обладать изучаемая система. Свойства могут более обобщенно выражаться в виде признаков, характерных для данного класса систем. Свойства отражают требования к искусственным системам, которые необходимо выполнять при синтезе суммы параметров, обеспечивающих ее рациональное (или оптимальное) функционирование.
Таблица 3.1. Характеристика признаков разных типов
сложных динамических систем
Класс систем |
Характерные признаки (свойства) систем |
1. Изолированные |
Системы, не обменивающиеся веществом с окружающей средой и вследствие этого имеющие тенденцию к уменьшению (деградации) ее энергии. Они стремятся перейти от менее вероятных конфигураций к более вероятным или (что одно и то же) от более организованных состояний к более хаотическим |
2. Открытые |
Системы, обменивающиеся веществом с окружающей средой, в отличие от состояний равновесия в изолированных системах, полностью детерминированных начальными условиями, могут достигать не зависящего от времени состояния, которое не зависит от исходных условий и определяется исключительно параметрами системы. Они могут сохранять свой высокий уровень и даже развиваться в сторону увеличения порядка и сложности |
3. Самонастраивающиеся |
Характерными признаками этих систем следует считать неопределенность, избыточность, логичность действий, прогнозирование и самообучение. |
4. Самосохраняю- |
Способность самонастраивающейся системы развиваться или отмирать в соответствии с изменениями окружающей среды |
Выполнение перечисленных требований при проектировании и конструировании искусственных сложных динамических систем или придание им свойств, соответствующих разному уровню организованности, в первую очередь связано с организацией управления, обеспечивающего перечисленные свойства.
Многими из перечисленных свойств обладают и существующие банковские системы (см. табл.3.2), однако их обеспечение вызвано в большей степени опытом на основе перебора проб и ошибок, нежели разумным подходом к организации управления.
Таблица 3.2. Характеристика свойств банковских систем
Свойства сложных |
Чем обусловлено наличие |
Условия придания этих свойств банковским системам |
1 |
2 |
3 |
1. Способность системы удерживать существенные переменные в допустимых пределах |
Обеспечить устойчивость системы при заданных параметрах |
Обеспечивать рентабельность инвестиций на уровне конкурентоспособности коммерческого банка |
2. Способность сохранения работоспособности системы при большом количестве различных ситуаций |
Обеспечить работу системы в условиях неопределенности окружающей среды |
Наличие в системе органа, обеспечивающего оперативность управления при различных ситуациях |
3. Способность системы ассимилировать разнообразные воздействия среды |
Обеспечить изменение работоспособности системы при существенных изменениях окружающей среды |
Изменить условия функционирования при изменении в окружающей среде и неизменных конечных показателя работы |
4. Способность системы эффективно, быстро и в достаточном объеме усваивать информацию из окружающей среды, а также правильно и быстро реагировать на нее, то есть обеспечить информационноемкость и помехозащитность системы |
Обеспечить оценку изменения окружающей среды |
Наличие в системе органа регистрации и учета информации, а также алгоритма ее выбора при принятии решений |
5. Способность самосохранения структуры в изменяющейся среде |
Обеспечить сочетание подцелей для наиболее эффективного выполнения |
Обеспечить правильный выбор способа сочетания целей различных подразделений для наиболее эффективного выполнения главной цели в изменяющейся среде |
6. Способность предвидения |
Обеспечить подготовку |
Способность оценки окружающей среды (научно-технический прогресс, изменение экономики страны, потребители, вкладчики и т.д.) |
7. Способность изменять свое поведение |
Обеспечить простое приспосабливание системы к окружающей среде |
Обеспечить прогнозирование и перспективное планирование с учетом изменений окружающей среды |
8. Способность изменять условия внешней среды, когда изменение своего поведения невозможно или нежелательно |
Обеспечить простое приспособление системы к окружающей среде |
Способность изменять договорные условия с вкладчиками, потребителями, а также изменение цены при изменении спроса |
9. Способность к развитию |
Обеспечить совершенствование системы в соответствии с развитием окружающей среды |
Наличие органа, обеспечивающего техническую и организационную подготовку при внедрении новых машин или видов обработки документации |
10. Способность к самообучению, то есть придание системе некоторых поведенческих структур |
Сократить число выборов поведения в повторяющихся структурах |
Способность к выработке стандартных решений при повторяющихся ситуациях |
11. Способность к самоорганизации, то есть изменение структуры целенаправленного процесса или функции, определяющих целенаправленную систему |
Обеспечить способность системы повышать свою организованность |
Наличие органа, обеспечивающего изменение организованности системы при ее развитии |
12. Способность к выживанию – степень устойчивости осуществления правильного выбора стратегии среди множества альтернатив |
Обеспечить планомерное развитие системы на основе изучения закономерностей изменения окружающей среды |
Познание действия экономических законов и использование их в перспективном планировании |
13. Способность системы достигать определенной степени успеха при поиске широкого многообразия целей в обширном диапазоне окружающей среды – интеллект системы |
Обеспечить наиболее эффективную стратегию и тактику в условиях большого выбора вариантов при различных альтернативах |
Наличие методов и средств по выбору критерия функционирования системы при изменении окружающей среды |
14. Способность системы «описывать самое себя» с учетом некоторой заданной цели по отношению к внешней среде |
Обеспечить оценку «самое себя» по отношению к окружающей среде – один из признаков интеллекта системы |
Наличие знаний и методов сравнения работы смежных отраслей и сравнение с ними данной системы |
15. Способность системы предсказывать окружающую среду с разумной степенью успеха |
Обеспечить «разумное поведение» системы |
Наличие органа по прогнозированию функционирования экономической системы |
Таблица 3.3. Понятийный аппарат системного подхода
и его использование в организации управления
Наименование понятия |
Сущность и характеристика понятия |
Характеристика понятия для банковских систем |
Использование понятия в организации управления |
1 |
2 |
3 |
4 |
1. Система |
Целостный комплекс взаимосвязанных элементов, имеющий особое единство с окружающей средой и представляющий собой элемент системы наиболее высокого порядка |
Целостный комплекс людей, машин и предметов труда, направленный на оказание услуг и являющийся элементом экономической системы |
Управление должно рассматриваться для системы в целом |
2. Целостность |
Состояние относительной замкнутости какой-то совокупности явлений, которая выражается в степени ограниченности системы от среды |
Относительная самостоятельность банковской системы по отношению к экономической системе в целом |
Степень ограниченности системы от среды определяет масштабы и сложность управления |
3. Окружающая среда |
Совокупность всех объектов, изменений свойств которых влияет на систему, а также тех объектов, чьи свойства меняются в результате поведения системы |
Элементы экономической системы, связанные с данной системой. |
Определяет масштабы и слож-ность управления, а также выбор подцелей функци-онирования системы |
4. Организованность системы |
Совокупность отношений между элементами системы; характеризуется содержанием, структурой, связями и способом принятия решений |
Совокупность содержания, структуры связей и способа принятия решений определяет организованность банковской системы |
Является определяющим фактором в организации управления. Чем выше уровень организации системы, тем выше уровень организации управления |
5. Содержание |
Вещественный субстрат системы |
Совокупность людей, средств и предметов труда |
Оказывает влияние на сложность управления при увеличении и сложности элементов вещественного субстрата |
6. Структура |
Способ сочетания локальных целей для наилучшего выпол-нения главной цели системы |
Способ сочетания целей рабочих мест и подразделений банка |
Определяет локальные цели управления |
7. Связи |
Предпочтительные условия для принятия решений. Обеспечение необходимой информации в нужном месте в заданное время |
Связь между рабочими местами и подразделениями банка |
Определяет условия принятия качественного решения в установленные сроки |
8. Способ принятия решения |
Способ выбора описательной инфор-мации и мотивации в сочетании с методом принятия решения |
Способ выбора информации и мотивации в точках управления и метод принятия решения |
Определяет скорость и качество принятия решений |
9. Иерархичность строения системы |
Расчленение системы на подсистемы с относительно замкну-тым циклом функционирования, действующих одновременно с координацией путём линейного вмешательства |
Разделение системы на уровни управления (рабочее место, линейные службы управления, дирекция банка) |
Определяет порядок и организацию управления всей системой и на её отдельных уровнях |
10. Адаптация |
Способность системы реагировать на стимулы окружающей среды с целью выработки благоприятных решений для её функционирования или развития |
Способность реагировать на изменения в окружающей среде с целью повышения эффективности её функционирования |
Часть системы управления обеспечивает восприятие, обработку и передачу информации для выработки решений на различных уровнях |
11. Обучение системы |
Процесс привития системе навыков в принятии решений путём набора правил сокращения информации, которые, будучи приложены к наблюдаемым данным, позволяют сравнительно эффективно преобразовывать эти данные в желательные реакции |
Выработка методов и навыков в принятии решений по банковской деятельности |
Определяет уровень восприятия и хранения описательной информации в системе управления |
12. Поведение системы |
Структура поведения в окружающей среде складывается из уравновешивания системы со средой и упорядочения системы в данной среде |
Складывается из предсказаний о развитии окружающей среды и управления развитием системы в соответствии с этими предсказаниями |
Определяет цели управления и организацию управления развитием системы |
13. Информация |
Необходимое отражённое разнообразие. Необходимое – степень описания системы. Отражённое – отражающая содержание, структуру, связи и способ принятия решения |
Складывается из документооборота и устной информации в процессе функционирования системы |
Является средством управления в банковской системе |
14. Целевая функция системы |
Каждая система имеет способность выполнять определённую функцию и цель, связанную с этой функцией |
Главной целью банковских систем следует считать реализацию банковских услуг. |
Целевая функция определяет цель управления
|
15. Сложность системы |
Определяется сложностью связей внутри системы и с окружающей средой, а также количеством разнообразий при функционировании системы |
Сложность банковских систем обуславливается разнообразием номенклатуры услуг, банковских технологий, квалификации работающих, объемом ресурсов |
Определяет сложность системы управления |
16. Отношения в системе |
Обуславливаются взаимосвязью между её элементами и определяют необходимость того или другого элемента в системе при выполнении главной цели |
Определяются отношениями между отдельными исполнителями и коллективами при выполнении главной цели |
Определяют локальные цели управления |
17. Устойчивость |
Способность системы приходить в равновесное состояние после воздействия окружающей среды. Устойчивость тем надёжнее, чем большим числом неустойчивых элементов она определяется |
Способность системы сохранять эффективность при изменениях окружающей среды |
Система управления должна обеспечивать устойчивость функционирования системы |
18. Наследственность |
Закономерность передачи признаков одного поколения другому |
Выражается в наличии доминантных признаков на отдельных этапах развития банковских систем |
Определяет направление управления развитием банковских систем |
19. Развитие |
Процесс совершенствования систем |
Развитие банковских систем является закономерным процессом, обусловленным действием закона экономии времени |
Изучение закономерностей развития систем позволяет найти аппарат перспективного планирования как части управления развитием банков |
20. Эволюция |
Этапы процесса развития систем |
Закономерные этапы развития банковских систем, обусловленные взаимодействием закона пропорционального развития и закона экономии времени. |
Определяет основы управления развитием систем |
21. Субординация частей |
Приведение частей системы в порядок путём выделения её низших и высших элементов |
Высшим элементом банковской системы является человек |
Определяет уровни управления и взаимосвязь между ними |
22. Самоорганиза-ция. |
Изменение структуры целенаправленного процесса. |
Изменение состава и функций подразделений в процессе развития системы |
Определяет порядок управления изменением структуры системы |
23. Многомер-ность системы |
Способность системы ассимилировать разнообразные воздействия окружающей среды |
Способность системы реагировать на изменение спроса, достижения науки и техники, изменения в смежных отраслях |
Определяет сложность системы управления |
24. Низший предел системы |
Разрушение системы |
Убыточность банковских технологий и отсутствие возможностей сбыта услуг |
Управление не обеспечивает функционирование системы в окружающей среде |
25. Верхний предел |
Оптимальное функционирование системы |
Оптимальное функционирование системы |
Управление обеспечивает взаимосвязь системы с окружающей средой |
26. Закон движения системы |
Закон, определяющий изменение состояний входов и выходов системы во времени |
Заключается в закономерности цикла управления |
Служит основой управления системой в стационарном состоянии |
27. Память системы |
Способность системы хранить информацию |
Учёт процессов и их результатов |
Основа процесса принятия решения |
28.Авторегу-лирующий орган |
Орган выработки регулирующих управляющих воздействий |
Регулирование функционирования системы в стационарном состоянии путём сравнения и анализа плановых и фактических состояний |
Часть системы управления |
29. Поле функциональных связей с окружающей средой |
Границы и количество функциональных связей системы со средой. Определяет степень единства и ограниченности системы с окружающей средой |
Характеризует степень самостоятельности банковской системы и уровень кооперации |
Определяет сложность системы управления |
30. Ограничитель разнообразия |
Орган системы, обеспечивающий необходимое разнообразие за счёт ограничения образования излишних разнообразий; препятствует искусственному усложнению системы |
Ограничитель изменений информации внутри системы и ограничение информации, поступающей из окружающей среды |
Часть системы управления |
31. Элементы управления |
Элементы системы, обеспечивающие её описание, планирование, её функционирование, контроль за отклонениями в окружающей среде, а также регулирование и изменение поведения системы в окружающей среде |
Элементы системы, обеспечивающие нормирование, текущее и перспективное планирование, контроль и регулирование |
Служат основой системы управления |
32. Стабилизирующие цепи системы или локальные регуляторы |
Особый вид связей между элементами системы, обеспечивающий устойчивость системы |
Особый вид связей между элементами банковской системы, обеспечивающий регулирование в условиях быстро меняющейся среды |
Самостоятельность уровней управления в принятии решений или их относительная замкнутость |
1 |
2 |
3 |
4 |
33. Аппарат сравнения |
Элемент системы, обеспечивающий контроль за её функционированием в пределах установленных параметров |
Часть элемента контроля, обеспечивающая сравнение фактических и плановых показателей |
Часть системы управления |
34. Активаторы системы |
Операторы позитивного действия |
Активаторы банковской системы- закон экономии и закон возвышающихся потребностей – выражаются уровнем научно-технического прогресса и развития общества |
Учитываются при организации управления развитием производства |
35. Дезактиваторы системы |
Операторы негативного действия |
Ограничители развития системы (дефицит материалов, оборудования, трудовых ресурсов) |
Учитываются при организации управления развитием банковской деятельности |
36. Внутренние резервы |
Запасы энергии и вещества, обеспечивающие оптимальное функционирование системы, выступают как защита от возмущений |
Оборотные средства банковской системы, резервы в НБУ и т.д. |
Учитываются при организации управления системой в стационарном состоянии |
37. Энергия системы |
Для открытых систем наиболее важное значение имеет «свободная энергия» – энергия, которая может действовать на окружающую среду |
Люди и орудия труда |
Управление должно быть направлено на более эффективное использование энергии системы |
38. Вещество системы |
Главным фактором функционирования открытых систем является обмен веществом с окружающей средой |
Капитал |
Управление должно быть направлено на осуществление более интенсивного обмена информацией с окружающей средой |
39. Коррелятор организации |
Внутренняя структурная информация |
Чем более точно информация отражает структуру системы, тем выше уровень её организованности |
Чем выше уровень организованности системы, тем вы-ше уровень само-управления в ней |
40. Компенсиру-ющий механизм приспособле-ния |
Элемент системы, обеспечивающий усвоение изменений окружающей среды и частичное воздействие на систему |
Элементы системы, позволяющие компенсировать возмущения в окружающей среде |
Служит элемен-том системы регулирования в управлении банками |
41. Вмешательство |
Способ воздействия уровня управления высокого порядка на уровень управления более низкого порядка в результате реакции на изменение окружающей среды |
Способ регулирования процесса при существенных откло-нениях, которые не входят в компетенцию руководителей более низкого уровня управления |
Следует учитывать вмешательство как особый способ управления и найти границы его применения |
42. Механизм разумного поведения системы. |
Элемент системы, позволяющий описывать её по отношению к окружающей среде. |
«Описание самоё себя» по отношению к окружающей среде- заключается в опре-делении количествен-ных значений ограни-чений главной цели. |
Служит основой качества управления системой в стационарном состоянии и при её развитии |
43. Законы, управляющие поведением системы |
Элемент системы, позволяющий описывать её по отношению к окружающей среде |
Экономические законы |
Основа организации управления банковскими системами |
44. Граница качественной определённости предмета |
Мера предмета или совокупность его параметров |
Мера качества предметов труда |
Управление качеством в соответствии со спросом |
45. Метод упорядочения состояния системы |
Насыщение информацией |
Описание системы на уровне, необходимом для качественного управления |
Позволяет улуч-шить качество принятия решения при управлении |
46. Противоречия в системе |
Действия элементов или частей с противоположными целями |
Определяют необходимость создания качественных связей между отдельными структурными подразделениями |
Следует учитывать как предпосылки для принятия решения |
47. Координация |
Способ взаимосвязи между специализированными частями системы |
Линейные связи между структурными подразделениями |
Часть системы управления |
48. Ограниченность между системой и средой |
Выражается в интенсивности обмена веществом и энергией между системой и средой |
Выражается интенсивностью обмена ресурсами, информацией с окружающей средой |
Управление должно быть направлено на сохранение ограниченности между системой и средой или на увеличение её |
49. Обратная связь |
Часть системы регулирования процессов в системе |
Основа системы регулирования |
Управление в банковских системах основано на обратных связях |
50. Скорость ликвидации возмущений |
Показатель, характеризующий степень зрелости или старения системы |
Введение такого показателя могло бы характеризовать организованность и качество управления системой |
При организации управления необходимо учитывать этот показатель |
51. Период насыщения |
Период, в течение которого система развивается без ограничений со стороны окружающей среды. В этот период связь системы с окружающей средой минимальная |
Период насыщения |
При организации управления следует учитывать особенности функционирования системы в период насыщения |
52. Децентрализация |
Способ повышения эффективности управления за счёт инициативы низших уровней управления |
Относительная замкнутость и самостоятельность уровней и стимулирование инициативы за счёт материального и морального поощрения |
Определение самостоятельности и границ инициативы – основа органи-зации управления в банковских системах |
53. Функциональные отношения в системе |
Взаимосвязь между элементами и частями системы, обусловленная выполнением главной цели |
Взаимосвязь между рабочими местами, обусловленная подготовкой и реализацией банковских услуг |
Служат основой координации между подразделениями и рабочими местами |
54. Система отношений |
Целевые назначения элементов, связи между ними и окружающей средой. Определяет структуру системы |
Слагается из отношений между исполнителями и отдельными коллективами, обусловленных выполнением главной цели |
Определяет уровни и структуру управления |
55. Иерархия структуры |
Соподчинённость локальных целей в системе |
Соподчинённость подразделений в выполнении главной цели |
Определяет уровни управления |
56. Пропускная способность системы |
Способность системы усиливать или ослаблять энергию входа |
Расчётная, плановая и фактическая мощность банковской системы и возможности её увеличения или уменьшения при сохранении эффективности |
При организации управления необходимо учитывать возможности регулирования мощности банковской системы |
57. Календарь функционирования системы |
Множество моментов или интервалов времени |
Оборот капиталов, финансовый год |
Основа управления системой в стационарном состоянии. |
58. Репертуар функционирования системы |
Множество различных состояний системы |
Множество финансовых оборотов |
Определяет точки управления |
59. Разумное поведение системы |
Сочетание способности предсказывать состояние внешней среды с преобразованием каждого предсказания в подходящую реакцию (при правильном описании себя относительно окружающей среды) |
Прогнозирование и перспективное планирование |
Управление развитием системы с учётом предсказаний об изменениях в окружающей среде |
60. Цель |
Конечное состояние, к которому стремится система в силу своей структурной организации |
Продвижение на рынок банковских услуг, необходимых клиентам |
Управление служит выполнению цели системы |
61. Количество элементов, охватываемых воздействием данного класса среды |
Показатель поля функциональных связей с окружающей средой |
Показатель связи отдельных подразделений банка с данным классом воздействия окружающей среды |
Служит основой организации управления системой с учётом изменений в окружающей среде |
62. Надёжность системы |
Функционирование системы при выходе из строя отдельных элементов |
Функционирование системы с учётом выхода из строя оборудования и неявки работающих по различным причинам |
Учитывается при создании системы регулирования |
63. Мотивация |
Критерий выбора решений |
Критерий принятия множества решений на различных уровнях |
Основа организации и выбора метода принятия решений |
64. Критерий функционирования системы |
Разрабатывается исходя из анализа ожидаемых результатов и целей организации как функция концентрируемых аспектов управления |
Складывается из оценки соответствия результатов работы системы действию объективных экономических законов, так как система есть элемент экономической системы |
Служит оценкой результатов управления системой |
Задача исследователей банковских систем заключается не только в обнаружении перечисленных свойств, но и в нахождении оценки степени их развития по отношению к развитию окружающей среды как рыночной.
Изучение управления на принципах системного подхода тесно связано с созданием понятийного аппарата, способного не только отразить внешние проявления свойств сложных систем, но и найти сущность и закономерность описанных явлений.
Этому способствует рассмотрение основных принципов системного подхода, сущность которого в значительной степени раскрывается в анализе его понятийного аппарата применительно к организации управления и, в частности, к данному типу систем. В табл. 3.3 приводится только основная часть понятийного аппарата общей теории систем, применяемого в той или иной степени в банковских системах.
Характеристика свойств сложных динамических систем и анализ понятийного аппарата системного подхода применительно к организации управления позволяют сформулировать следующие основные требования:
Необходимо учитывать реальную сложность банковской системы.
Построение управления должно основываться на взаимодействии системы с окружающей средой.
Организованность управления должна соответствовать организованности данной банковской системы. При этом необходимо обеспечить четкое определение главной и локальной целей функционирования банковских систем.
3.3. Место коммуникации в понятийном аппарате
системного исследования
Коммуникация в понятийном аппарате системного исследования занимает определенное место. Поставим задачу дать определение коммуникации в соответствии с другими, близкими ей понятиями, ибо только так можно глубже раскрыть ее сущность. Что значит дать «определение»? Это значит, прежде всего, подвести данное понятие под другое, более широкое. Поэтому для систематизации понятий с целью выявления их сущности и определения в них места коммуникации построим схему взаимосвязи основных понятий системного исследования (рис. 1).
В качестве критериальных понятий, вокруг которых группируются остальные понятия, приняты «объект (образование)», «элементы и связи (множество)» и «способ связи (объединение)». Выбор дают эти критериальные понятия с учетом закономерности уменьшения степени абстракции. Так, определив стержневое семейство понятий «события (ситуации) – организация – управление», можно соответственно выделить два других взаимосвязанных семейства: «предпосылки» – связи – выбор» и «сведения (данные) – коммуникация – информация».
Критерий понятия «объект (образование)» характеризуется наибольшей абстракцией, «элементы и связи (множество)» – меньшей абстракцией, а «способ связи (объединение)» – наименьшей. Аналогичная картина прослеживается и в понятиях-семействах по горизонтали: «события (ситуации) – предпосылки – сведения», «организация – связи – коммуникация», «управление – выбор – информация». Связь этих понятий семейств диалектическая.
Сущность всех понятий наиболее полно может быть раскрыта по горизонтали (в рамках своего семейства) и по вертикали. Возможны и другие разрезы, например, перекрестный: «связи – организация – управление», «коммуникация – организация – управление» и т.д.
Такой комплексный подход к рассмотрению понятийного аппарата системного исследования позволяет не только раскрыть сущность самих понятий, но и выявить закономерности их соотношений. Как видим, интересующая нас проблема коммуникации принадлежит ко второму семейству понятий «связи – организация – коммуникация» и находится в области всех способов рассмотрения – горизонтального, вертикального и перекрестного.
Коммуникацию, занимающую промежуточное положение между понятиями «сведения (данные)» и «информация», можно рассматривать в узком смысле как информацию. К. Шеннон отмечает: «Информация – это коммуникация, связь».
Под данными понимают сообщения, не соотнесенные к возможности их использования. Если исследователь располагает сообщениями, которые ему приемлемы, то данные несут знания, означающие его связь с объектом. Эти знания и есть коммуникация, то есть знание субъектом объекта. Но если знания полезны при принятии решений, то они являются информацией.

Рис.3.1. Схема взаимосвязи понятий системного исследования
В рассмотренной схеме под системой понимается объект (образование), содержащий элементы и связи, который характеризуется способом связи, изменяющимся во времени и пространстве. Инвариантным свойством системы является ее относительно устойчивый, изменяющийся во времени и пространстве способ внутренних связей и отношений.
Структура системы определяет в определенной мере ее свойства. От их изменчивости зависит изменчивость самой структуры. Структурные аспекты системы играют вполне определенную роль для ее функциональных аспектов. Поэтому при анализе даже простых объектов используют понятия сложной системы, исследуя, с одной стороны, функции системы (все, что система делает, может делать, должна делать), а с другой стороны ее схему (совокупность элементов, участвующих в реализации функций системы, и методы, по которым система действует).
В структуре как форме проявляется организация. Так как система – это организованный объект, обходимый в силу своего существования и содержания, то и организацию следует рассматривать как ее инвариантное свойство. В узком смысле организация есть структура конкретной системы, не изменяющейся в пространстве и во времени. В широком смысле организация системы – это способ связи, изменяющийся во времени. Она отличается обратимостью в противоположных направлениях, что позволяет судить о понижении или повышении организованности системы. Таким образом, структура тесно связана с организацией системы. Но между ними существует различие. Если структура характеризует взаимосвязь и соотношение элементов системы, их субординацию, то организация, выражая также взаимодействие элементов, обеспечивает ее функционирование и развитие.
Итак, структуру и организацию нельзя отождествлять. Организация одной и той же системы может оставаться неизменной, между тем структура подвергается изменению. Обязательное изменение организации системы представляет собой не что иное, как смену определенных структур во времени. Организация системы может изменяться в одном из двух взаимопротивоположных направлений: разрушаться (понижение уровня организации – процесс дезорганизации) или сохраняться (повышение уровня организации – процесс улучшения организации). Поэтому уровень организации системы необходимо рассматривать в связи с изменением структуры во времени (уровень организованности системы).
Организация и дезорганизация как противоположности характеризуют направленное изменение отношения между системой и хаосом, порядком и беспорядком, определенностью и неопределенностью, вероятностью и невероятностью, разнообразием и единообразием.
Разнообразие системы является коррелятом имеющейся в ней информации, что свидетельствует о связи системы и организации, управления и информации.
Система, переходя в одно из возможных своих состояний, тем самым производит выбор. Информация же основана на процессе выбора из какого-либо конечного числа возможных выборов. Поэтому информацию следует рассматривать как результат выбора, снимающий неопределенность. Информация связана с отражением, без которого невозможно сравнивать состояния системы. Сравнивать их нельзя, если отсутствует и разнообразие системы.
Информация отражает связи между объектами (системами) и является их свойством. Она циркулирует между подсистемами системы как их компонент, характеризует связи между подсистемами и самой системой. Эта связь используется в управлении, так как основана на передаче сигналов, несущих сведения о тех или иных событиях (изменениях состояния объекта) от одной подсистемы к другой или от подсистемы к системе. Таким образом, информация является свойством системы, характеризующим ее связи.
Информационные связи возможны, когда есть источник информации, ее получатель и канал связи между ними. Информация существует только в коммуникативной системе, включающей три указанные подсистемы: «источник», «получатель», «канал». Отсутствие какой-либо из подсистем (источника, получателя или коммуникативного канала) означает и отсутствие информации. Нет информации вообще, а есть вполне определенная, конкретная информация в конкретной коммуникативной системе, в которой подсистема «источник» служит источником информации лишь постольку, поскольку существует подсистема «получатель», в отношении которой подсистема «источник» и является источником информации в отношении подсистемы «источник», а подсистема «канал» служит коммуникативной связью в силу того, что подсистемы «источник» и «получатель» соответственно источник и получатель информации.
Если выйти за пределы системы, чтобы получить о ней информацию, тогда можно говорить о новой коммуникативной системе, для которой справедливо предыдущее рассуждение. Однако информация здесь иная, внешняя по отношению к той, внутренней, принадлежащей первой коммуникативной системе. Поэтому при исследовании внутренней информации необходимо учитывать особенности структуры и организации системы.
Способность воспринимать информацию зависит от организованности системы. То, что передается, может быть или не быть информацией в зависимости от того, соответствует ли уровень организации получателя информации уровню получаемой информации. Однако это не значит, что организация и информация тождественны. Организация как свойство системы характеризовать взаимозависимое поведение ее частей в рамках целого является свойством как всей системы, так и отдельных ее частей. А информация как мера организации отличается от последней тем, что не может быть мерой самое себя. Все же организация и информация при всем их различии тесно взаимосвязаны как стороны одного и того же явления.
Посредством информации можно проследить связь организации с управлением. Процессы управления, как известно, обусловлены наличием информации, ее передачей и преобразованием. Без хранения информации невозможно перевести систему из одного состояния в другое, проверить соответствие ее состояния условиям существования. Осведомительная информация от управляемого объекта поступает в управляющий. Последний передает информацию управляемому объекту. Этот процесс управления кажется несложным. Однако связь между управляемым и управляющим объектами не так проста. В широком смысле связь между ними следует рассматривать как результат взаимного уменьшения неопределенности. Связь информации и управления в этом плане двусторонняя. Не только информация обусловливает управление, последнее также оказывает влияние на информацию. Благодаря именно управлению, информация и организация системы представляют собой единое целое. Накапливая или сохраняя информацию, тем самым поддерживают или повышают организованность системы.
Понятия информации, организации и управления относятся к необратимо изменяющимся системам. Изменение организации подсистем коммуникативной системы («источника», «получателя», «канала»), командной и осведомительной информации, а также самого управления является существовали, существуют и будут существовать как и связанные с ними события (ситуации), состояния системы.
Рассмотрев во взаимосвязи предпосылки, связи, выбор, события (ситуации), организацию, управление, сведения (данные), коммуникацию и информацию как различные формы проявления общего свойства системы, можно к наиболее развитым отнести организацию, управление, связи, выбор, информацию и коммуникацию. А специально исследуемая нами организационная коммуникация (на схеме второй уровень: «связи организация-коммуникация») представляет особый интерес как форма проявления свойств системы управления банками.
3.4. Характеристика банковских систем
Экономическая система может быть разделена на следующие основные микросистемы:
- Системы, производящие сырье, материалы и готовую продукцию (производственные системы).
- Системы, осуществляющие распределение сырья, материалов, готовой продукции среди производственных систем и населения страны.
- Системы, занимающиеся подготовкой кадров.
- Транспортные системы.
- Системы, обеспечивающие развитие банковских систем.
- Системы, обеспечивающие функциональные связи с окружающей средой.
- Системы распределения материальных благ.
- Системы, обеспечивающие удовлетворение духовных потребностей народа и др.
Сложная динамическая система имеет следующие характерные черты:
- Составляется из меняющихся элементов.
- Имеет систему отношений между элементами.
- Сложность системы определяется обилием связей между элементами и между системой и средой.
- Система проявляет свойства, не присущие ни одному из ее элементов.
- Система обладает способностью удерживать существенные переменные в допустимых пределах (адаптация системы).
- Система ассимилирует разнообразные воздействия среды.
- Система обладает динамической устойчивостью.
- Система включает в себя: вещественный субстрат, совокупность структур внутренних отношений, функциональные связи с окружающей средой.
- К структуре организации относятся: структура образования элементов в систему, структура внутреннего процесса системы, структура упорядочения элементов в системе.
- Структура поведения системы в среде складывается из уравновешивания системы со средой и упорядочения системы в данной среде.
- Система может действовать лишь тогда, когда изменения системы соответствуют изменениям среды.
- Между системой и средой существует определенная ограниченность, которую можно измерить энтропией.
- В системе большое изменение претерпевает вещественный субстрат, а структура остается неизменной.
Банковская система состоит из элементов (вещественный субстрат), между которыми существуют определенные связи (структура внутренних отношений), и включает в себя функциональные связи с окружающей средой (см. табл. 3.4).
Таблица 3.4. Характеристика составных частей банковской системы
Вещественный субстрат |
Совокупность структур внутренних отношений |
Функциональные связи с окружающей средой |
1. Территория банка. Здания, сооружения, постройки |
Производственная структура. Материальный поток основного производства с учётом времени. Взаимодействие труда и оборудования в основном производстве |
География поставщиков. Спрос. География потребителей. Трудовые ресурсы |
2. Машины, оборудование |
Обеспечение производственного процесса |
Научно-практические успехи в области техники и науки |
3. Рабочая сила |
Планирование работ и расчёт их результатов. |
----------- |
4. Предметы труда Инструмент. |
Регулирование процесса в рамках плана |
Стоимостные показатели родственных банков в стране и за рубежом |
5. Вспомогательные материалы |
Обслуживание банков |
Развитие транспорта и снижение стоимости перевозок |
6. Энергия, топливо |
Изменение системы внутренних структур |
Связи с Национальным банком. Связи с министерством. Климатические условия |
Устойчивость систем сложного динамизма, их свойство сохранять устойчивость своей качественной определённости, несмотря на изменения в среде, определяется их способностью эффективно, быстро и в достаточном объёме усваивать информацию из среды, а также быстро и правильно реагировать на неё. Поэтому одним из путей совершенствования банковских систем является повышение эффективности усвоения информации. Применение ЭВМ позволяет обеспечить заранее готовые, хранящиеся в памяти ответы на уже известные изменения среды и поиски ответов на новые изменения среды.
Трудовые ресурсы регионов характеризуются наличием трудоспособного населения и его квалификацией. Большое значение имеет подготовка населения к осуществлению определенных видов работ. Чем выше удельный вес трудоспособного населения в общей численности, тем больше возможностей развития экономической системы.
Задача управления банковской системой сводится к регулированию поведения этой системы в окружающей среде.
Под системой или целью регулирования мы понимаем совокупность связанных величин, которые находятся в такой функциональной зависимости друг от друга, что изменение одной из этих величин влечёт за собой изменения одной или нескольких последующих величин.
При анализе систем отношений в первую очередь определяется назначение системы и её элементов, а уже затем производится выбор исполнителей.
Для банка такой анализ позволяет определить возможные варианты замены исполнителей для отдельных операций и процессов. Система отношений будет зависеть от масштаба назначения системы и её элементов: чем больше масштаб назначения, тем сложнее будут отношения между элементами. Здесь следует учитывать и вторую сторону взаимосвязи назначения и отношений: чем больше масштаб значения, тем больше свобода выбора в выполнении отдельных функций, тем устойчивее данная система. Однако следует оговориться, что это правело подходит к случаям «или-или»; для случаев «и» масштаб назначения не будет увеличивать свободу выбора и, следовательно, будет снижать устойчивость системы. Для анализа отношений в банке следует различать отношения данного элемента к банковскому процессу в целом, которые делятся на три основные группы:
- Основные- непосредственно относящиеся к основному банковскому процессу.
- Обслуживающие — обеспечивающие ход банковского процесса.
- Управляющие – планирующие, контролирующие и регулирующие ход банковского процесса.
Под связью банковской системы со средой следует понимать влияние среды на цели и результаты банковской деятельности и влияние последних на состояние среды. Так, действие объективного закона экономии рабочего времени будет оказывать влияние на банковскую систему таким образом, что с течением времени затраты живого труда должны снижаться. Технический прогресс будет оказывать влияние на качество и количество элементов банковской системы. Таким образом, банковская система отличается сложностью, большим количеством возмущающих воздействий внутри системы. Банковская система проявляет свойства, не присущие ни одному из ее элементов. Отличительной, характерной чертой этой системы является ее собирательность: сведение всех свойств отдельных элементов в единую меру измерения — стоимость, позволяющую дать оценку результатов работы системы. Банковская система обладает (при высоком уровне организации труда) способностью удерживать существенные переменные в допустимых пределах. К существенным переменным этой системы относятся количественные показатели в стоимостном выражении. Выявление системы отношений можно произвести на основе анализа связей между элементами системы. Связи в банковских системах можно классифицировать по следующим группам:
- Связи между составными банковских услуг, характеризующие возможность расчленения банковской услуги на отдельные составляющие.
- Связи между банковскими операциями, обусловленные выбором методов обработки информации.
- Связи между инвестиционной деятельностью и предоставлением услуг.
- Связи между отделениями и их метрополиями.
- Связи между сотрудниками.
6. Связи с окружающей средой.
По виду связи могут подразделяться на:
1) информационные связи;
2) производственные связи:
3) экономические связи;
4) социальные связи;
5) обратные связи.
Под информационными связями понимаются все виды сообщений и сигналов, вырабатываемых, передаваемых, обрабатываемых и получаемых элементами банковской системы.
Под экономическими связями понимаются связи, характеризующиеся стоимостными показателями.
Социальные связи характеризуют связи работающих в банковском процессе и с окружающей средой.
Обратные связи — это такие связи, которые обеспечивают контроль за результатом воздействия управляющей информации на управляемый объект.
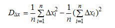
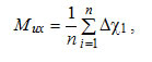
Случайными величинами оказываются обычно количество банковских услуг, обладающих в данный момент времени заданными свойствами, некоторые числовые параметры процесса (чаще временные), отклонения температуры, размеров и т. д. Для каждой переменной банковского процесса определяются вероятности появления (для событий) и законы распределения (для величин). Иногда можно ограничиваться их числовыми характеристиками: средними значениями, среднеквадратичными отклонениями (или дисперсиями) и корреляционными моментами (для нескольких случайных величин). Наиболее часто потребуется определить разброс погрешности какой-либо операции для различных операторов и среднее время настройки устройства каждым оператором.
Для этого фиксируются значения:
времени начала операции t0;
времени окончания операции t1;
величины Δх1- в момент окончания операции.
Математическое ожидание (среднее значение) времени окончания операции определяем по формуле
,
где ti0 и t1 – соответственно моменты начала и конца операции операторов;
n – количество операторов, выполняющих данную операцию, или количество замеров для одного оператора.
Математическое ожидание погрешности времени обработки определяется по формуле
,
Среднюю погрешность (дисперсию погрешности) времени операции определяют по формуле

В этом случае нужно накапливать лишь значения суммы х
Исходя из этого устойчивость системы будет во многом зависеть от устойчивости элементов, составляющих эту систему. Следовательно, возникает вопрос об оценке не только отдельных элементов банковской системы, но и системы в целом с учётом влияния окружающей среды. Нужно знать не только результаты анализа банковской деятельности за определённый промежуток времени, но и связь этих результатов с состоянием всей системы.
Для этого необходимо исследовать, насколько устойчивы существующие функциональные связи системы с окружающей средой во времени и в какой степени соответствуют структура внутренних отношений и вещественный субстрат окружающей среды. Здесь имеется в виду динамичность системы по отношению к динамичности окружающей среды.
Таким образом, банковские системы обладают всеми свойствами сложных динамических систем:
1. Имеется вероятностная зависимость между вещественным субстратом, структурой и функцией.
2. Имеют место законы организации элементов в целое – законы порядка.
3. Менее заметно, но существуют законы движения в меняющейся среде – законы поведения.
4. Наиболее характерны законы движений элементов внутри системы.
5. Обладают бесконечным числом подвижных, гибких, многомерных связей.
6. Развиты системные свойства, не присущие ни одному из этих элементов.
7. Представляют замкнутый контур в среде, обменивающийся с ней веществом, энергией и информацией.
Разработка и внедрение систем управления банковской системой вызывают необходимость более точного определения понятия «управление».
В настоящее время имеется несколько формулировок понятия «управление» в экономических и в производственных системах.
Управление обычно трактуют как целенаправленное информационное воздействие одной системы (или подсистемы) на другую, стремящееся изменить поведение этой системы (подсистемы) в определённом направлении. Таким образом, рассматриваемое со стороны содержания управление призвано обеспечивать функционирование организованной системы, её воспроизводство и изменения в соответствии с критериями цели (эффективности).
Однако следует учитывать, что существует управление физическими процессами и отдельными людьми или коллективами.
Управление физическими процессами основывается на использовании обратной связи при возможности создания контрольной и регулирующей аппаратуры в непрерывных или дискретных производствах, когда протекание процесса имеет строгие закономерности (автоматические линии, машины с программным управлением и т. п.).
Рабочий также управляет физическим процессом, используя машину, инструменты и предметы труда. Чем больше уровень механизации труда, тем больше у рабочего функций управления и меньше его собственного труда. При автоматизации производства труд рабочего состоит полностью из функций управления физическим процессом.
Следовательно, механизированный труд отличается от труда с применением автоматов тем, что в последнем полностью устраняется физический труд и ограничивается сфера применения умственного труда рабочего путём узкой специализации в пределах сложности функционирования автомата.
Управление физическими процессами основано на логике жестких граней и вследствие незначительных отклонений от заданного ритма существенно снижает роль человека в регулировании производственного процесса. В этом случае наибольшее значение приобретает обслуживание и ремонт механизмов и автоматов.
Теория автоматического управления механизмами достаточно хорошо разработана и успешно применяется на практике.
Наиболее сложной частью является управление людьми и коллективами при большом количестве наименований сложных изделий, изготовляемых на разнообразной технике с большим количеством различных операций.
Эта сложность в большей степени обуславливается необходимостью использования суммы знаний и профессиональных навыков человека в сочетании с его психологическим, физическим и моральным состоянием. Человек по своей природе не может точно воспроизводить движения и действия в течение длительного периода (смена, месяц, год). Большое значение в труде человека в условиях всё большего разделения труда занимает заинтересованность, чувство коллективизма и другие факторы, ещё недоступные науке для их точного описания. Поэтому процессы с применением человеческого труда носят вероятностный характер и требуют достаточно большой и чёткой системы регулирования. Исследование сущности управления следует начинать с определения его составных частей и взаимосвязей между ними. При этом следует различать управление функционированием системы в заданных условиях и управление развитием системы.
В первом случае управление имеет целью ликвидацию внутренних и внешних возмущений без изменения выходных параметров системы, а во втором случае целью управления является изменение входных и выходных параметров системы в соответствии с изменением окружающей среды.
Некоторые учёные дают понятие управления как определение каждого значения переменной нормы регулирования, которая определяется как функция определённого параметра, называемая критерием управления. В зависимости от критерия различают следующие типы управления:
1.Программное управление, если параметром служит время.
2.Следящее управление, если параметром является ведущая величина, определяемая каким-либо иным процессом вне системы регулирования.
3.Адаптационное управление, если параметром является прежнее состояние выхода системы регулирования.
4.Экстремальное управление, если параметр определяется условием экстремизации (max или min).
Критерий управления является многопараметрическим и можно говорить о комплексном управлении.
Регулирование состоит в достижении такой деятельности системы, при которой выравниваются все отношения состояния выхода системы по заданному значению этого состояния, то есть по его норме (см. рис.3.2).

Рис. 3.2. Схема взаимосвязей между частями управления
Следовательно, главная задача управления состоит в определении заданного состояния системы при её функционировании.
Заданные состояния функционирования банковской системы определяются планированием как упреждающим управлением, основанным на нормировании отдельных финансовых процессов . Это подчёркивает необходимость улучшения нормативной базы в банковских системах при совершенствовании системы управления.
Основными элементами управления следует считать:
1. Нормирование – основу планирования.
2. Планирование – упреждающее управление.
3. Контроль – средство сопоставления нормы и фактического результата.
4. Регулирование – приведение системы в заданное состояние.
5. Изменение состояния системы – совершенствование системы при изменении внутренних условий и окружающей среды.
Сложность управления в большой степени определяется количеством изменений в системе и в окружающей среде.
Изменения в банковской системе можно подразделить на следующие основные типы:
1. Изменение свойств элемента (качества услуг, применяемых технологий и т.п.).
2. Изменение функции элемента.
3. Изменение связей между элементами системы.
4. Изменение структуры элементов.
5. Изменение элементов структуры.
6. Изменение элемента.
Все эти изменения чаще всего не имеют определённой закономерности, что обуславливает возникновение большого количества отклонений фактических результатов от нормы и вызывает необходимость увеличения системы регулирования.
Не следует путать понятие «управление» и понятие «организация управления».
Если управление является целенаправленным информационным воздействием (при управлении коллективами людей), то организация управления выражает систему выработки и передачи этого целенаправленного воздействия. Организацию управления, как и любую организацию, можно выразить через её основные характеристики:
1. Содержание.
2. Структура.
3. Связи.
4. Способ принятия решения.
Поскольку управление осуществляется с помощью информации, то по существу организация управления будет выражать порядок и методы образования и переработки информации. В свою очередь, информацию в инвестиционном процессе можно по характеру участия в управлении разделить на три основных вида:
1. Описывающая информация, или информация о наличии и состоянии элементов системы и её функционировании с учётом фактора времени.
2. Инструкция – информация, оказывающая целенаправленное воздействие на управляемый объект.
3. Мотивация – критерий выбора данного целенаправленного воздействия.
Взаимодействие управления, его организация и информация раскрывают сущность процесса управления в банковских системах.
Организация управления, или организация выработки целенаправленного воздействия, возникает только в том случае, когда имеет место цель и объект управления. Поэтому эффективность организации управления будет в значительной степени зависеть от чёткости формирования цели управления.
Однако в сложных системах чаще всего трудно выразить всю систему управления одной целью.
Количество целей будет зависеть от числа необходимых целенаправленных воздействий при функционировании управляемого объекта.
Следовательно, организация управления начинается с описания регулируемых процессов в управляемом объекте и нахождения их закономерностей. Это осуществляется с помощью информации. Обработка описывающей информации на базе мотивации позволяет выработать целенаправленные воздействия в виде инструкций. Сложность и частота обработки описывающей информации определяют содержание организации, то есть выбор состава людей и машин.
Структура организации управления будет зависеть от способа обработки описывающей информации. Чем выше уровень разделения умственного и физического труда в управлении, тем проще и эффективнее структура организации. Или – чем больше число операций по обработке информации осуществляется в каждом элементе управляющей системы, тем проще структура организации.
Связи в организации управления выполняют роль увязки локальных целей с главной целью управления при помощи мотивации. Процесс принятия решений есть сочетание структуры и связей организации для выработки инструкций, выполняющих роль целенаправленного воздействия.
Управление включает в себя описание состояний объектов во времени, выдачу их в виде упреждающих целенаправленных воздействий, контроль за выполнением этих инструкций и регулирование функционирования управляемого объекта на основе контроля.
Особой составной частью управления следует считать управление развитием системы, которое включает в себя изменение составных частей управляемого объекта, их организацию и функционирование в соответствии с изменениями окружающей среды. Оно также включает в себя описание новых состояний объектов во времени, выдачу их в виде упреждающих целенаправленных воздействий, контроль за изменением системы и регулирование изменения системы на основе контроля.
В общем виде процесс управления может быть представлен следующей суммой операций или действий:
1. Сбор информации о состояниях управляемого объекта (описательная информация).
2.Нормирование состояний управляемого объекта.
3. Определение места и количества целенаправленных воздействий (выбор возможных инструкций).
5. Планирование – определение упреждающих целенаправленных воздействий.
6. Контроль – механизм сравнения (сопоставления) плановых и фактических состояний системы во времени.
7. Регулирование или компенсирование величины рассогласования между плановыми и фактическими состояниями системы.
8. Передача дополнительного управляющего воздействия на объект управления.
Планирование, контроль и регулирование в значительной степени зависят от структуры, связей и процесса принятия решения данной организации управления.
Однако организация этого процесса будет в значительной степени зависеть от уровня развития техники и квалификации исполнителей, участвующих в управлении банковской системой.
В настоящее время вследствие использования малого количества вычислительной техники требуется разделение управления на многочисленные функции.
Применение математических методов и электронно-вычислительных машин для решения проблемы руководства финансовыми процессами, протекающими в банковской системе, вызывает всё больший интерес. Стремление освободить руководителей от поиска уже найденных организационных решений, вооружить их научно обоснованными методами управления вызвало необходимость более полного и глубокого изучения понятия «управления».
Изучение управления процессами с использованием понятий кибернетики и общей теории систем позволяет применять достижения теории решений, теории информации, моделирования, математического программирования и исследования операций.
С возникновением кибернетики как общей науки об управлении и регулировании систем представилась возможность конструировать процессы, аналогичные процессам, реально происходящими в банковских системах.
В современных условиях при изучении управления делаются попытки использовать синтез технических, математических и общественных наук с тем, чтобы заменить существующий эмпиризм современным научным мышлением.
В кибернетике и в исследовании систем особое значение придаётся динамическому характеру управления. Действия, подлежащие координации и регулированию, а также люди, участвующие в них, рассматриваются как системы внутри единого целого промышленного предприятия, которое в свою очередь представляет один из элементов экономической, технической и общественной системы страны.
Банковская система есть результат мышления и опыта человечества, построенная для обеспечения растущих потребностей людей. Это стало возможным не только благодаря техническому прогрессу, но и благодаря совершенствованию самой банковской системы. Имеется пять основных типов процессов, встречающихся в банковских системах:
1. Процессы создания и хранения ресурсов.
2. Процессы распределения.
3. Процессы обслуживания.
4. Процессы замены.
5. Состязательные процессы.
По каждому из этих видов процессов разработан математический аппарат, позволяющий производить многовариантные расчёты с помощью ЭВМ.
Следует остановиться еще на различии задач управления в зависимости от его уровня.
Эти задачи могут быть стратегическими и тактическими. К стратегическим задачам управления относится учёт изменения ограничительных условий работы банковской системы и изменения её основы в перспективном планировании.
К тактическим задачам управления относится обеспечение оптимального функционирования системы при изменяющихся внешних и внутренних условиях в течение такого промежутка времени, когда основа и ограничительные условия системы остаются неизменными.
Под управляемостью системы следует понимать способность её органов управления обеспечивать функционирование системы при изменении внешних, внутренних и ограничительных условий, а также при изменении её основы.
Трудность в создании эффективной системы управления чаще всего обуславливается отсутствием возможностей описания системы на уровне, необходимом для управления.
Значительно усложняет управление отсутствие обоснованных норм на вспомогательные и обслуживающие процессы, что вызывает дополнительные отклонения от запланированного хода управления банками.
Этим и определяется низкая организация управления, потому что в одной системе существуют управляемая и неуправляемая части, которые тесно взаимосвязаны между собой. Поэтому задача совершенствования управления заключается в расширении связей управления во всей банковской системе.
Участие человека в банковском процессе определяется сложностью связей между элементами системы и вероятностными зависимостями количественных характеристик процесса. Основная сложность заключается в большом количестве информации, которая вызывает последовательную смену состояний элементов системы во времени. Участие человека сводится к накоплению и выбору информации для управления и обеспечения расчетного хода банковского процесса.
Функционирование банковских систем носит динамический характер и тесно связано с окружающей средой. Важной чертой этих систем является неустойчивость элементов структур внутренних отношений. Даже при условии отсутствия изменений в окружающей среде, вследствие трудностей расчета отдельных взаимодействий, между элементами системы будет наблюдаться неустойчивость структур внутренних отношений.
Исходя из этого, следует различать регулирование структур внутренних отношений и регулирование поведения системы в окружающей среде.
Особенность банковских систем состоит в том, что гибкость системы регулирования должна соответствовать многообразию состояний реальной системы, а скорость уменьшения разнообразия последней должна быть достаточно большой для эффективного управления. В противном случае управление не сможет удержать существенные переменные в пределах пороговых границ. Качество работы системы зависит не только от скорости, с которой управление выдает «хорошие» решения, но также от чувствительности этих «хороших» решений к изменениям в окружающей обстановке.
Поэтому при организации структур внутренних отношений и функциональных связей с окружающей средой потребуются ограничительные предположения относительно целей организации, характера изменения окружающей обстановки, представленной в переменных о перспективе и возможностях перестройки механизма управления системой.
Одна из наиболее характерных трудностей совершенствования организации и управления банковской системой, которая стала особенно заметной с появлением ЭВМ, заключается в том, что в процессе управления очень трудно предусмотреть общие правила принятия решений почти в любой ситуации, не говоря уже о всех возможных ситуациях.
Изучение информации банковской системы имеет важное значение потому, что управление осуществляется с помощью информации, сохраняет ограниченность системы от среды и в то же время обеспечивает взаимосвязь с нею, сохраняя при этом качественную специфику системы.
| Предыдущая |

