Математическое моделирование производственно - сбытовой
системы предприятия
и её оптимизация по критерию максимальной прибыли
В.Н. Бугров
Нижегородский госуниверситет
e-mail: rif@netmen.ru
М.И. Молотков
ООО "РусавтоГАЗ"
Рассматривается возможность оптимизации маркетинговой системы промышленного предприятия на базе нелинейного неоднородного математического программирования с учетом заданных прямых и функцио-нальных ограничений производства и рынка. Излагают-ся основные этапы формализованного решения задачи оптимизации на конкретном примере.
Математическая формализация производственно-сбытовой системы
(ПСС) предприятия [3] позволяет строго решать прямую аналитическую задачу
- определение суммы прибыли СП по заданному объму производства Q и средневзве-шенным
рыночным ценам Р продукции при заданной структуре S и ограничениях меркетинговой
сети (рынка). Однако на базе разработанной математической модели может
быть поставлена, строго решена и задача оптимизации ПСС по критерию максимальной
суммы прибыли. В данной статье приводится общая постановка и результаты
решения такой задачи на примере ПСС модельного ряда легковых автомобилей
ООО "ГАЗ".
В общем случае обратная задача формулируется так: определить оптимальный
объем производства QO и рыночные цены PO модельного ряда ЛА, которые при
заданной структуре ПСС позволяют получить максимальную сумму прибыли СПmax.
При таком функциональном критерии естественно ввести скаларную функцию
цели F(X) в следующем виде:
производимых автомобилей шести моделей и непрерывного вещественного
под-множества их рыночных цен PP(p1,p2 .. p6).
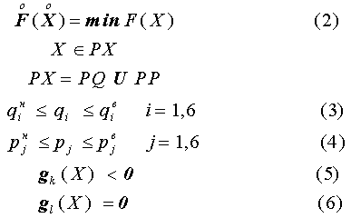
Относительно целевой функции (1) общую задачу оптимизации можно за-писать
так:
Как видно, задача (2) в общей трактовке является нелинейной задачей смешанного
математического программирования (МП) с заданной системой прямых (3 и
4) и функциональных (5 и 6) ограничений. Аналитического решения такая
задача не имеет. Однако решение общей нелинейной и неоднородной задачи
МП вполне возможно алгоритмоческим методом, предложенным автором и отчасти
описаным в [1,2]. В рамках настоящей статьи подробное рассмотрение данного
метода невозможно, поэтому ограничемся только перечнем его этапов, раскры-вающих
его сущность: 1) выделение однородных подмножеств на неоднородном множестве
РХ; 2) формирование обобщенного целевого функционала методом замещенного
прогрессивно-накопительного штрафа; 3) постановка однородных задач МП
в каждом подмножестве; 4) параллельное пошаговое итеративное ре-шение
этих задач по общей целевой функции численными методами (алгоритма-ми)
детерминированного поиска.
В таблице приведены результаты решения задачи (2) указанным методом (обемы
производства qi - в шт., рыночные цены автомобилей pj - в тыс.руб., сум-ма
прибыли - в млн. рублей). В начальной точке значение ЦФ составляло 82,7
при этом сумма прибыли была равна 63 012 533 рублей. В ходе решения было
достигнуто знечение ЦФ на уровне 0,38. При этом сумма прибыли возрасла
до 240 006 114 рублей при выполнении всех прямых и функциональных ограниче-ний
рынка. На приведенных рисунках показаны характерные для данного метода
разрецы ЦФ по целочисленным и непрерывным переменным.
[1] Бугров В.Н., Ложкова А.В. Синтез систем на базе задач смешанного матема-тического
программирования. // В кн.: Тр. 4-ой научной конференции по радиофизике.
5 мая 2000 г. /Ред. А.В.Якимов. - Н.Новгород: ННГУ,2000, с. 145
[2] Бугров В.Н., Воронков Ю.В. Формализация задачи структурно-параметрического
синтеза радиоэлектронных систем. // Радиотехника (Жур-нал в журнале),
2001, № 9, с. 57
[3] Молотков М.И. Математическое моделирование производственно-сбытовой
системы предприятия. В настоящем сборнике.

