Математическое моделирование производственно - сбытовой системы предприятия
М.И.Молотков
ООО "РусавтоГАЗ"
Одним из классов задач, решение которых обеспечивает руководящий состав
предприятий объективной информацией для принятия адекватных управленческих
решений, является построение математических моделей (ММ), формализующих
различного рода экономические, финансовые, производственные и др. процессы
и состояния экзо- и эндогенного по отношению к фирме характера.
В настоящей работе рассматривается ММ функционирования маркетинговой или
производственно-сбытовой системы (ПСС) предприятия на примере модельного
ряда легковых автомобилей ОАО "ГАЗ" (существует 6 базовых моделей
автомобилей, объединенных в 3 группы, поэтому введем следующие обозначения:
i = 1, 6 - индексация моделей а/м; j = 1, 3 - индексация групп моделей
а/м).
ПСС связывает воедино такие сферы деятельности как маркетинг, создание
новых изделий, снабжение, производство, сбыт, доставку продукции потребителю
и послепродажное обслуживание. В рассматриваемой ММ не все из упомянутых
компонентов учитываются напрямую, в основном их влияние выражено через
следующие показатели: натуральные - объем производства qi, производственные
мощности предприятия по группам моделей а/м PMgj и суммарные PMS; стоимостные
- нормальную прибыль от производства и реализации одной единицы продукции
Пi, прейскурантные Ppri и рыночные pi цены реализации одной единицы продукции,
среднюю дилерскую скидку СК, объем денег, расходуемый населением на приобретение
легковых автомобилей "ГАЗ" (выручка субъектов товаропроводящей
сети при реализации продукции конечным потребителям) по группам моделей
а/м TRgj и суммарные TRS; а также через минимальные KZgjmin (по группам
моделей) и KZSmin (суммарный) и максимальные KZgjmax (по группам моделей)
и KZSmax (суммарный) коэффициенты загрузки производственных мощностей,
минимальный MDmin и максимальный MDmax уровни маржи (выручки) дилеров
(субъектов товаропроводящей сети) при реализации автомобилей конечным
потребителям. В качестве результирующего критерия функционирования ПСС
принята сумма валовой прибыли от производства и реализации продукции СП.
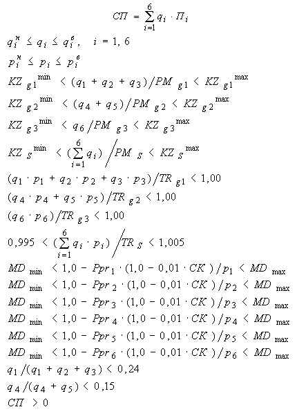
Математическую модель производственно-сбытовой системы предприятия для
легковых автомобилей ОАО "ГАЗ" запишем в виде:
СП = AM (qi, pi),
или в введенных выше обозначениях:
где qiн и qiв - соответственно нижняя и верхняя границы объемов производства
помодельно; piн и piв - соответственно нижняя и верхняя границы граница
рыночных цен помодельно.
На основе классификации используемых в экономике ММ [1] данную модель
можно охарактеризовать как микроэкономическую прикладную детерминированную
модель. Она сформирована таким образом, чтобы на ее базе можно было решить
задачу не только прямую - отыскание СП при заданных исходных данных и
ограничениях, накладываемых производственными возможностями компании и
ее маркетинговой средой (рынком), но и обратную - оптимизация производственно-сбытовой
системы предприятия (иными словами, поиск qопт и pопт) по критерию максимальной
суммы прибыли СПmax.
[1] Замков О.О., Толстопятенко А.В., Черемных Ю.Н. Математические методы в экономике: Учебник. - М.: МГУ им. М.В. Ломоносова, Издательство "ДИС", 1998. - 368 с.

