Асаул А.Н., Карасев А.В.
Экономика недвижимости
Учебное пособие. М.: МИКХиС, 2001
| Предыдущая |
Глава 6. КРЕДИТОВАНИЕ НЕДВИЖИМОСТИ
6.2. Основные участники системы ипотечного кредитования
1. Залогодатель – физическое или юридическое лицо, предоставившее недвижимое имущество в залог для обеспечения своего долга. К ним предъявляются следующие требования:
- надежность и платежеспособность;
- добровольное предоставление в залог недвижимого имущества;
- способность внести авансовые платежи.
2. Ипотечные кредиторы (залогодержатели) – юридические лица, выдающие кредиты под залог недвижимого имущества. К ним относятся банки, фонды и другие кредитные учреждения, с которыми залогодатели заключают договор о предоставлении ипотечного кредита. Ипотечные кредиторы осуществляют обслуживание выданных ипотечных кредитов в течение всего срока действия договора.
Ипотечный банк [1] – учреждение, которое специализируется на выдаче долгосрочного кредита под залог недвижимости. Ссуды такими банками выдаются не только на жилищное, но и на производственное строительство.
Кредитование через ипотечные банки является классической схемой ипотечного кредита, на основе которой работают большинство ипотечных программ в мировой практике.
Преимущества ипотечного кредитования для банков:
- сравнительно низкий риск при выдаче кредитов, так как они обеспечиваются недвижимостью;
- долгосрочность кредитования освобождает банки от частных переговоров с клиентами;
- ипотечные кредиты обеспечивают банку вполне стабильную клиентуру;
- закладные могут активно обращаются на вторичном рынке, что позволяет банку диверсифицировать свой риск, продав закладную после выдачи кредита.
Недостатки ипотечного кредитования для банков:
- необходимость держать в штате узких специалистов-профессионалов - оценщиков недвижимости, которую представляют в залог, что увеличивает издержки банка;
- долгосрочное отвлечение денежных средств [2] ;
- большая длительность срока, на который предоставляется кредит, является большой угрозой предстоящей прибыли банка, так как очень трудно спрогнозировать на десятилетия вперед динамику рыночных процентных ставок [3] .
В целом, кредитование жилья через ипотечные банки осуществляется по схеме, представленной на рис. 6.1.
Рис. 6.1. Схема кредитования через ипотечный банк
Ипотечный банк предоставляет залогодателю кредит на покупку жилья, при этом между ними заключаются кредитный договор, и как следствие его, договор залога. Покупатель жилья – это главная фигура механизма ипотечного кредитования, он приводит его в движение. Затем залогодатель заключает с продавцом жилья договор купли-продажи недвижимости (если жилье продает риэлтерская фирма) или договор подряда на строительство (при строительстве вновь строящего жилья подрядной строительной организацией). Ипотечный банк, с другой стороны вправе продать закладную данного залогодателя на вторичном рынке ценный бумаг.
Экономическая сторона возникновения закладных, обеспеченных недвижимостью, связана с созданием условий предоставления значительному числу инвесторов возможности получения относительно дешевых и долгосрочных кредитов под залог ипотечных ценных бумаг и имеющихся у них имущественных прав на недвижимость. Особенностями таких ценных бумаг следует считать:
- превращение в ликвидную (денежную) форму имущественных прав на недвижимость залогодателя;
- использование ценных бумаг в качестве залога под ипотечную ссуду.
В качестве примера банка, который использует механизм ипотечного кредитования можно назвать Балтийский банк в Санкт-Петербурге.
Условия ипотечного кредитования, которые предлагает своим клиентам банк, следующие:
сумма кредита - 70-80% от стоимости приобретаемого жилья;
собственные средства заемщика - не менее 20-30% от стоимости приобретаемого жилья;
срок кредитования - до 5 лет;
номинальная процентная ставка - 15% годовых в валюте:
реальная процентная ставка - 5-7% годовых в валюте (номинальная ставка, пересчитанная на фактический остаток ссудной задолженности заемщика перед банком)
В случае недостаточности средств от реализации старого жилья для полного расчета по кредиту, Балтийским Банком в качестве обеспечения может приниматься поручительство юридического лица.
Этим же банком также предусмотрена система накопительных счетов. Она применяется в случае отсутствия у потенциального заемщика собственных средств, необходимых для первоначального взноса.
При банковском кредитовании погашение кредита происходит ежемесячно. Также ежемесячно взимается плата (проценты) за пользование суммой остатка долга (т. е. неоплаченной еще частью кредита). Таким образом, сумма ежемесячного платежа будет уменьшаться, так как снижаются выплаты по процентам.
Рассмотрим расчет ежемесячных платежей на конкретном примере. Допустим, что кредит в 100 тыс. рублей выдается на 5 лет (или 60 месяцев) под 12 % годовых. Тогда, в 1-й месяц пользования кредитом предполагаются следующие расчеты и выплаты:
- сумма погашения кредита = 100000 : 60 = 1666,7 руб.;
- процент за кредит = 100000 х 0,12 : 12 = 1000 руб.;
- платёж за 1-й месяц = 1666,7 + 1000 = 2666,7 руб.
Во 2-й месяц пользования кредитом сумма процента за кредит будет меньше:
- процент за кредит = (100000 – 1666,7) х 0,12 : 12 = 983,3 руб.;
- платеж за 2-й месяц = 1666,7 + 983,3 = 2650 руб. и т д. во все последующие месяцы.
В последний, 60 месяц платеж по кредиту составит:
1666,7 + 1000 х 0,12 :12 = 1676,7 руб.
Также, может иметь место и другой вариант. После выплат в погашение кредита и процентов по нему, заемщик может сделать письменное заявление, что он оплатил суммы по погашению основного долга за несколько следующих месяцев. Тогда, платеж во втором месяце будет определяться только выплатой процентов за кредит. Это позволяет снизить сумму платежей по процентам за кредит.
Фонд - специальный орган по финансированию, организации строительства жилья и возврату кредитов залогодателям.
В частности, существует модель ипотечного кредитования города Сарова Нижегородской области, который использует программу «Жилье в кредит».
За основу структуры финансирования ипотечного жилищного кредитования была взята безналоговая модель. Именно за счет предоставления налоговых послаблений, решение в отношении которых принято на местном уровне, удалось сформировать начальных капитал данной ипотечной программы. Даже при наиболее рациональной системе – «продаже в рассрочку», при которой не возникает увеличения подоходного налога, стоимость кредита с учетом его обслуживания, например, при 13,5 % годовых в 3 раза дороже тела кредита. Например, если получен кредит 40 тыс. руб., то к возврату подлежит 120 тыс. руб., из которых 80 тыс. руб. – это стоимость обслуживания, из них, в свою очередь, 40 тыс. руб. составляют налоги. При проведении такой операции в безналоговом режиме, число участников программы заметно увеличиться. Каждый участник в процессе покупки жилья вносит деньгами и недвижимостью, которая имеется у него в наличии, в общей сложности до 80 % его стоимости. Остальные 20 % он берет в кредит. Вся эта денежная масса совместно с кредитом направляется подрядчикам, которые являются плательщиками налогов. Около 20 % этой суммы будет выплачено в виде налогов в бюджеты всех уровней и внебюджетные фонды. Известно, что все предприятия стройиндустрии - плательщики налогов. В пределе эта величина стремиться к 40 %. Можно рассчитать, в относительных величинах, каков выигрыш и проигрыш. Допустим, что доля кредита в стоимости жилья составляет 20 % кредит. Тогда, обслуживание кредита в налоговом режиме (без учета инфляции) составит:
20 % х 0,07 х 15 х 2,02 = 42,42 %, где
0,07 – налоги, кроме налога на прибыль (данные г. Сарова);
15 – количество лет, на которое выдан кредит;
2,02 – проценты.
Обслуживание кредита в безналоговом режиме составит:
20 % х 0,07 х 15 = 21 %.
Таким образом, если мы выбираем безналоговый режим, то теряем 21 % на уплате налогов (42 – 21), но выигрываем 40 % на налогах строителей. Итого общая величина выигрыша составляет 19 %.
Основным действующим лицом саровской ипотеки стала специально созданная некоммерческая организация – Фонд социального развития (ФСР). Общая схема финансирования, в случае применения безналоговой модели в городе Сарове представлена на рис. 6.2.
Основным механизмом такого рода схемы является продажа в рассрочку. Фонд направляет средства на строительство жилья или на покупку жилья на вторичном рынке. Построенное или закупленное жилье продается в рассрочку покупателям – гражданам города, которые
Рис. 6.2. Схема финансирования при безналоговой модели (г.Саров).
участвуют в программе ипотечного кредитования. Кредитные учреждения участвуют в данной схеме в качестве кредиторов ФСР. Функцию безналогового проводника финансовых ресурсов выполняет некоммерческая организация ФСР, и за счет этого происходит удешевление стоимости жилья.
По данной схеме покупатель закладной на вторичном рынке ценных бумаг и ФСР заключают договор купли-продажи закладной. Между ФСР и покупателем жилья заключаются следующие виды договоров: договор купли-продажи недвижимости (или договор купли-продажи доли строящегося жилья), договор займа, договор залога.
Фонд также заключает договора с продавцом жилья: договор купли-продажи недвижимости, договор подряда на строительство.
В последние годы в ряде регионов нашей страны уже накоплен определенный опыт финансирования строительства индивидуальных домов с помощью специально созданных фондов.
Например, в Белгородской области был создан фонд поддержки индивидуального жилищного строительства на селе. И именно эта область является родиной методики расчета сельскохозяйственными продуктами за полученные кредиты для возведения жилья. Подобно Белгородскому фонду, в Самаре был создан Самарский фонд. В 1996 году на ссуды этого фонда было построено 17 домов, а 1997 году – уже в 4 раза больше. В 1998 году эта цифра достигла 200 индивидуальных домов. Средства же полученные от реализации сельскохозяйственной продукции, которой рассчитываются сельские жители, направляются на кредитование новых очередников.
3. Продавцы жилья. Продавцами могут быть как физические, так и юридические лица, в том числе и подрядные строительные организации и риэлтерские фирмы.
4. Государственные органы, которые
- осуществляют государственную регистрацию прав на недвижимость и сделок с нею;
- ведут единый государственный реестр прав собственности на недвижимость.
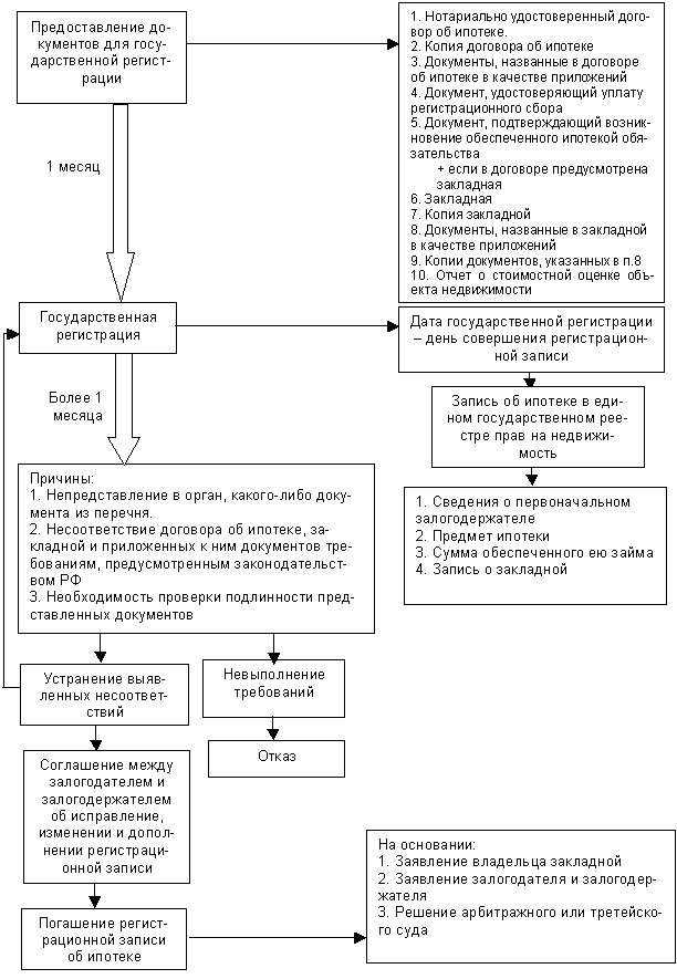
Регистрация договора об ипотеке должна осуществляться на основании заявления залогодателя. На рис. 6.3 представлена схема, иллюстрирующая порядок государственной регистрации ипотеки.
Расходы по уплате сборов за государственную регистрацию ипотеки и внесению изменений и дополнений в регистрацион-
Рис. 6.3. Порядок государственной регистрации ипотеки
ную запись об ипотеки возлагаются на залогодателя, если соглашением между ним и залогодержателем не установлено иное.
Орган, на котором лежит ответственность регистрации ипотеки, обязан возместить заинтересованному лицу убытки, причиненные своими незаконными действиями или бездействием, в том числе, например, необоснованным отказом в государственной регистрации ипотеки, задержкой в государственной регистрации ипотеки сверх установленного срока, государственной регистрацией с нарушением требований, предъявляемых законодательством РФ к содержанию регистрационной записи, или с иными ошибками, неправомерным погашением регистрационной записи.
5. Страховые компании. Это могут быть как государственные (муниципальные) компании, так и лицензированные страховые компании, которые осуществляют страхование заложенной недвижимости, а также при необходимости жизни и трудоспособности залогодателя.
6. Оценщики. К ним относятся как независимые оценщики, так и оценочные агентства, которые производят профессиональную оценку, сданного под залог недвижимого имущества.
7. Ипотечные агентства. Данные учреждения обеспечивают поддержание ликвидности вторичного рынка жилищных кредитов и рынка ипотечных ценных бумаг. Основные задачи Агентства:
- привлечение новых источников частного капитала в сферу ипотечного жилищного кредитования;
- формирование ликвидного вторичного рынка ипотечных кредитов.
За счет собственного капитала и заемных средств Агентство выкупает у коммерческих банков дебиторскую задолженность по договорам ипотеки, поддерживая ликвидность банков и повышая привлекательность ипотечного кредитования.
Ипотечные агентства в нашей стране еще не получили полноценного развития.
В качестве примера можно привести Москву, где основным оператором Московской ипотечной программы является специально созданное Московское ипотечное агентство (МИА). К функциям МИА относятся:
- разработка и внедрение единых ипотечных стандартов и технологий, соблюдение которых является обязательным условием для выкупа кредитов у квалифицированных МИА кредиторов;
- выкуп у квалифицированных МИА кредиторов ипотечных кредитов, соответствующих стандартам МИА;
- привлечение средств инвесторов путем выпуска и размещения ценных бумаг, обеспеченных собственными активами, а также поручительствами Правительства Москвы.
Если ипотечное кредитование осуществляется через Фонд, то агентство создается при его участии и представляет местные власти, а также действует от имени и по поручительству Фонда на основании договора агентирования.
8. Поручители - физические и юридические лица, поручившиеся за залогодателя и несущие имущественную ответственность по его обязательствам. В случае, если, ипотечное кредитование ведется через Фонд, поручитель заключает договор поручительства с этим Фондом. Участие поручителя в механизме ипотечного кредитования повышает вероятность возврата денежных средств и обеспечивает тем самым устойчивость и непрерывность процесса финансирования.
[1] Эти учреждения впервые возникли в Германии в XVIII в. Самый первый ипотечный банк был государственный, основанный в Силезии в 1770 году.
[2] Если банку срочно потребуется возвращение предоставленных средств, то выходом из такой ситуации может являться продажа закладных на вторичном рынке.
[3] Такая проблема может решаться с помощью применения плавающих процентных ставок.
| Предыдущая |

