А.Н. Асаул, Ю.Н. Казаков, Н.И. Пасяда, И.В. Денисова
Теория и практика малоэтажного жилищного строительства в России
Под ред. д.э.н., проф. А. Н. Асаула. — СПб.: «Гуманистика», 2005. — 563с.
Глава 7. Организационно-финансовое обеспечение развития сферы индивидуального жилищного строительства в сельских поселениях
7.3. Финансовое планирование деятельности Фонда индивидуального жилищного строительства
На всех этапах развития ИЖС происходит привлечение различных источников финансирования строительства индивидуальных жилых домов в сельской местности. Это могут быть:
1. Целевое бюджетное финансирование.
1.1. Средства федерального бюджета на возвратной основе — бюджетный кредит.
1.2. Средства федерального бюджета на безвозвратной основе — субвенция.
1.3. Средства областного бюджета на безвозвратной основе.
2. Льготные кредиты Северо-Западного банка Сбербанка РФ.
3. Средства учредителей. Для Ленинградской области в состав учредителей могут входить: Правительство Ленинградской области, открытое акционерное общество "Производственно-проектная агростроительная корпорация "Нечер-ноземагропромстрой", открытое акционерное общество "Проектно-строитель-ное объединение "Леноблагрострой", Союз фермеров и др.
4. Плата за услуги, оказываемые Фондом.
4.1. Плата за кредитные ресурсы, предоставляемые сельским жителям (возвращение кредитов и процентов за их использование).
4.1.1. Денежные средства за пользование кредитами.
4.1.2. Средства, полученные от реализации сельскохозяйственной продукции и другого имущества, предоставляемого в зачет погашения кредитов и процентов по ним.
4.2. Плата за все сопутствующие услуги (юридические, риэлтерские и т.д.).
5. Денежные средства от реализации ИЛ.
6. Средства, полученные от реализации имущества Фонда.
7. Страховые взносы.
8. Благотворительные средства.
В табл. 24 представлены характеристики трех этапов деятельности Фонда.
Для реализации своей миссии Фонд использует два уровня взаимодействия — верхний и нижний. Верхний уровень предполагает кредитные отношения с федеральным бюджетом, а также Северо-Западным банком Сбербанка РФ. В этом случае Фонд выполняет функции заемщика. Следует заметить, что велика важность участия государственных органов при функционировании фондов, созданных для различных целей.
Очевидно, что при развитии ИЖС необходимо непосредственное участие института государства как неотъемлемой части любой экономической системы, без которой невозможно решение социально значимых проблем. Об этом свидетельствует как опыт России, так и мировой в целом. Например, в Германии, создание почти всех первых институтов ипотечного кредита начиналось в государственном секторе и более 100 лет продолжалось практически на базе только государственных ипотечных институтов [138].
На протяжении истории "участие государства, меняясь по силе воздействия, остается постоянным по сути". В последнее время почти во всех странах Европы, а также в России наметилась тенденция участия государственных органов различных уровней в утвержденных ими государственных программах.
Согласимся с мнением В.А. Заренкова, что "строительная отрасль является своеобразным индикатором экономического благополучия и эффективного развития экономики государства. Поэтому государство особенно заинтересовано в сохранении своего влияния на эту сферу экономики". В связи с этим, в настоящее время в России происходит смещение акцентов в сторону осуществления конкретных региональных проектов, эффективность которых будет во многом определяться социальной политикой, проводимой субъектами Федерации и способностью региональной власти привлекать для их осуществления инвестиционные средства.
Таблица 24
Финансирование этапов деятельности Фонда
|
Этап деятельности |
Содержание этапа |
Источники финансирования этапа |
Направления расходования средств |
||
|
I |
Характеризует мероприятия, необходимые для организации и начала деятельности Фонда |
1.3 3 |
1. Создание и учреждение Фонда. 2. Создание и тиражирование каталога проектов индивидуальных жилых домов, рекомендуемых для ИЖС в сельской местности. 3. Создание макета типового индивидуального жилого дома, предназначенного для строительства в сельской местности как объекта обозрения сельскими жителями. 4. Написание и издание практического пособия на правовой основе о деятельности Фонда, организации бухгалтерского учета, налоговым льготам и другим вопросам его деятельности. 5. Написание и издание руководства для сель ских жителей по подготовке пакетов документов для участия в схемах развития ИЖС. |
||
|
II |
Характеризует период деятельности Фонда с привлечением бюджетных средств и средств Северозападного банка Сбербанка РФ |
1.1 1.2 1.3 2 4.1.1 4.1.2 4.2 5 6 7 8 |
1. Выпуск ИЛ 2. Содержание аппарата Фонда 3. Финансовые операции с сельскими жителями, связанные со строительством индивидуальных жилых домов. 4. Проектно-изыскательские работы, научно-технические исследования, разработки, внедрение новых технологий в строительстве. 5. Социальная поддержка сельского населе-нияи в области строительства, приобретения жилья, развития сельскохозяйственного производства путем оказания финансовой помощи на безвозвратной основе. б.Долевое участие в разработке и реализации имеющих областное значение программ и проектов, направленных на развитие ИЖС и других видов строительства в области. 7. Формирование резервного фонда на непредвиденные расходы и расходы на уплату налогов |
||
|
III |
Характеризует период деятельности Фонда основной которого являются собственные средства |
4.1.1 4.1.2 А О 4-.Z 5 6 1 я О |
|||
|
If |
|||||
Авторы полагают, что основными функциями государственных органов, которые могут составлять основу влияния на развитие ИЖС в сельской местности в настоящее время должны являться следующие.
1. Формирование и утверждение направлений жилищной политики в соответствии с социальной политикой в этой сфере.
2. Постановка стратегических задач в области жилищного строительства.
3. Правовое введение нового участника в сферу ИЖС — Фонда.
4. Финансирование на выполнение отдельных задач деятельности Фонда.
5. Строгий контроль за деятельностью Фонда.
6. Защита деятельности Фонда от внешних отрицательных условий.
7. Проведение положительной политики в сфере налогообложения участников схем развития ИЖС в сельской местности.
8. Ослабление непосредственного участия государственных органов в деятельности Фонда по мере положительного решения задач развития ИЖС в сельской местности.
9. Качественный анализ деятельности Фонда в рамах развития региона в целом.
Выделение государственных капиталовложений — одна из форм прямого регулирования целевых программ со стороны государства.
В этом случае государственная поддержка осуществляется путем именно направления финансовых ресурсов. Порядок оказания такой поддержки устанавливается законодательством РФ. Суммы ассигнований на эти цели предусматриваются ежегодно в законе о федеральном бюджете и в государственной инвестиционной программе.
Средства федерального бюджета, предоставляемые на возвратной основе для финансирования государственных целевых программ, выделяются Минфину РФ в пределах кредитов, выдаваемых Центральным банком РФ в установленном действующим законодательством порядке. Минфин РФ направляет указанные средства заемщикам (в том числе — Фонду) через коммерческие банки в соответствии с заключенными с этими банками до-говорами. Перечень таких банков определяется Правительственной комиссией по вопросам кредитной политики по представлению Минфина РФ с учетом мнения Центрального банка РФ, министерств и ведомств РФ. При заключении договора на получение указанных средств заемщик предоставляет в коммерческий банк утвержденный перечень документов.
Субвенция федерального бюджета направляется Фондом на выпуск ИЛ, бюджетный кредит — на строительство индивидуальных жилых домов для сельских жителей — предоставляется под 5% годовых в рублях сроком на 15 лет.
Общий срок пользования средствами федерального бюджета устанавливается с учетом продолжительности мероприятий, на которые направлен кредит. Выплата процентов за пользование бюджетным кредитом начинается с момента начала возврата данных средств.
В Северо-Западном банке Сбербанка РФ Фонд вправе брать кредиты на 7 лет под 15% годовых в рублях.
Средства областного бюджета Фонд на различных этапах деятельности использует на следующие мероприятия:
• создание и тиражирование каталога проектов индивидуальных жилых домов, рекомендуемых для ИЖС в сельской местности;
• создание макета типового индивидуального жилого дома, предназначенного для строительства в сельской местности как объекта обозрения сельскими жителями;
• написание и издание практического пособия на правовой основе о деятельности Фонда, организации бухгалтерского учета, налоговым льготам и другим вопросам его деятельности;
• написание и издание руководства для сельских жителей по подготовке пакетов документов для участия в схемах развития ИЖС;
• финансовые операции с сельскими жителями, связанные со строительством индивидуальных жилых домов;
• проектно-изыскательские работы, научно-технические исследования, разработки, внедрение новых технологий в строительстве;
• социальная поддержка сельского населения в области строительства, приобретения жилья, развития сельскохозяйственного производства путем оказания финансовой помощи на безвозвратной основе;
• долевое участие в разработке и реализации имеющих областное значение программ и проектов, направленных на развитие ИЖС и других видов строительства в области;
• формирование резервного фонда на непредвиденные расходы и расходы на уплату налогов.
На нижнем уровне Фонд несет функции кредитора для сельских жителей-участников схем развития ИЖС.
Исходные условия для дальнейших финансовых расчетов связанных с деятельностью Фонда, представлены в табл.25.
Таблица 25
Исходные практические условия для финансового планирования
деятельности Фонда
|
Горизонт расчета |
20 лет |
|
Шаг расчета |
1 год |
|
Базовый момент времени |
to |
|
Объемы строительства индивидуальных жилых домов на срок to...to+i , где to+i — конец года, принятого за базовый |
5,52 тыс.м , из них 2,40 тыс.м — на осуществление модели развития ИЖС с использованием залоговых и зачетных отношений; 1,92 тыс.м — на осуществление модели развития ИЖС с участием сельскохозяйственных организаций; 1,20 тыс.м —на осуществление модели развития ИЖС с целью привлечения квалифицированных рабочих кадров |
|
Средства, выделяемые областным бюджетом на создание Фонда |
1,27 млн.руб. |
|
Субвенция на срок to.-.to+i"1"1" |
7,68 млн.руб. |
|
Бюджетный кредит |
42,29 млн.руб. |
* По прогнозным данным Комитета по сельскому хозяйству Ленинградской области.
То же ++ То же
Произведем финансовое планирование деятельности Фонда (табл.26).
Таблица 26
Финансовое планирование деятельности Фонда (млн. руб.)
|
Наименование финансовых статей |
Источники финансирования |
to |
to+i |
ti |
ti+i |
t2 |
t2+l |
|||||||
|
1 |
2 |
3 |
4 |
5 |
6 |
7 |
8 |
|||||||
|
1. Создание и учреждение Фонда |
1.3 |
0,10 |
- |
- |
- |
- |
- |
|||||||
|
3 |
0,07 |
- |
- |
- |
- |
- |
||||||||
|
2. Создание и тиражирование каталога проектов индивидуальных жилых домов |
1.3 |
0,50 |
- |
- |
- |
- |
- |
|||||||
|
3 |
0,05 |
- |
- |
- |
- |
- |
||||||||
|
3. Создание макета типового индивидуального жилого дома |
1.3 |
0,50 |
- |
- |
- |
- |
- |
|||||||
|
4. Написание и издание практического пособия |
1.3 |
0,05 |
- |
- |
- |
- |
- |
|||||||
|
3 |
0,03 |
- |
- |
- |
- |
- |
||||||||
|
5. Написание и издание руководства для сельских жителей |
1.3 |
од |
- |
- |
- |
- |
- |
|||||||
|
3 |
0,07 |
- |
- |
- |
- |
- |
||||||||
|
6. Выпуск ИЛ |
1.2 |
7,68 |
- |
- |
- |
- |
- |
|||||||
|
7. Содержание аппарата Фонда |
4.1.1 |
- |
- |
0,66 |
0,00 |
0,66 |
0,00 |
|||||||
|
4.2 |
0,66 |
0,00 |
- |
- |
- |
- |
||||||||
|
8. Строительство индивидуальных жилых домов |
1.1 |
42,29 |
- |
- |
- |
- |
- |
|||||||
|
5 |
7,68 |
- |
- |
- |
- |
- |
||||||||
|
Собственные средства сельских жителей |
3,31 |
- |
- |
- |
- |
- |
||||||||
|
9. Проектно-изыскательские работы, научно-технические исследования, разработки, внедрение новых технологий в строительстве |
4.1.1 |
- |
- |
0,10 |
0,00 |
0,10 |
0,00 |
|||||||
|
2 |
1,00 |
0,00 |
- |
- |
- |
- |
||||||||
|
10. Социальная поддержда сельского населения |
4.1.1 |
- |
- |
0,10 |
0,00 |
0,10 |
0,00 |
|||||||
|
2 |
1,00 |
0,00 |
- |
- |
- |
- |
||||||||
|
11. Долевое участие в разработке и реализации имеющих областное значение программ и проектов |
4.1.1 |
- |
- |
0,10 |
0,00 |
0,10 |
0,00 |
|||||||
|
2 |
1,00 |
0,00 |
- |
- |
- |
- |
||||||||
|
12. Формирование резервного фонда на непредвиденные расходы и расходы на уплату налогов |
4.1.1 |
- |
- |
0,10 |
0,00 |
0,10 |
0,00 |
|||||||
|
7 |
0,55 |
0,00 |
- |
- |
- |
- |
||||||||
|
13. Возвращение бюджетного кредита |
4.1.1 |
- |
2,82 |
- |
2,82 |
- |
2,82 |
|||||||
|
14. Возвращение процентов по бюджетному кредиту |
4.1.1 |
- |
2,11 |
- |
1,97 |
- |
1,89 |
|||||||
|
15. Возвращение кредитов Северо-западному банку Сбербанка РФ |
4.1.1 |
- |
0,43 |
- |
0,43 |
- |
0,43 |
|||||||
|
16. Возвращение процентов по кредитам Северо-западного банка Сбербанка РФ |
4.1.1 |
- |
0,45 |
- |
0,39 |
- |
0,32 |
|||||||
|
17. Возвращение кредитов Фонда |
4.1.1 |
- |
4,30 |
- |
4,30 |
- |
5,67 |
|||||||
|
18. Возвращение процентов по кредитам Фонда |
4.1.1 |
- |
2,72 |
- |
2,34 |
- |
4,01 |
|||||||
|
Отрицательное сальдо на конец года |
- |
- |
- |
- |
- |
- |
||||||||
|
Положительное сальдо на начало года |
- |
- |
0,15 |
- |
0,12 |
- |
||||||||
|
1 |
2 |
t3 |
t3+l |
и |
t4+l |
t5 |
t5+l |
|||||||
|
1 |
2 |
tl8 |
tl8+l |
tl9 |
tl9+l |
t20 |
||||||||
|
6. Выпуск ИЛ |
- |
- |
- |
- |
- |
- |
||||||||
|
7. Содержание аппарата Фонда |
4.1.1 |
0,66 |
0,00 |
0,66 |
0,00 |
|||||||||
|
8. Строительство индивидуальных жилых домов |
4.1.1 |
0,72 |
- |
0,72 |
- |
|||||||||
|
4.2 |
0,02 |
- |
0,02 |
- |
||||||||||
|
7 |
0,02 |
- |
0,02 |
- |
||||||||||
|
Собственные средства сельских жителей |
0,07 |
- |
0,07 |
- |
||||||||||
|
9. Проектно-изыскательские работы, научно-технические исследования, разработки, внедрение новых технологий в строительстве |
4.1.1 |
0,10 |
0,00 |
0,10 |
0,00 |
|||||||||
|
10. Социальная поддержка сельского населения |
4.1.1 |
0,10 |
0,00 |
0,10 |
0,00 |
|||||||||
|
11. Долевое участие в разработке и реализации имеющих областное значение программ и проектов |
4.1.1 |
0,10 |
0,00 |
0,10 |
0,00 |
|||||||||
|
12. Формирование резервного фонда на непредвиденные расходы и расходы на уплату налогов |
4.1.1 |
0,10 |
0,00 |
0,10 |
0,00 |
|||||||||
|
13. Возвращение бюджетного кредита |
- |
- |
- |
- |
||||||||||
|
14. Возвращение процентов по бюджетному кредиту |
- |
- |
- |
- |
||||||||||
|
15. Возвращение кредитов Северо-западного банка Сбербанка РФ |
- |
- |
- |
- |
||||||||||
|
16. Возвращение процентов по кредитам Северо-западного банка Сбербанка РФ |
- |
- |
- |
- |
||||||||||
|
17. Возвращение кредитов Фонда |
- |
1,06 |
- |
0,97 |
||||||||||
|
18. Возвращение процентов по кредитам Фонда |
- |
0,69 |
- |
0,52 |
||||||||||
|
Отрицательное сальдо на конец года |
- |
- |
- |
- |
||||||||||
|
Положительное сальдо на начало года |
1,50 |
- |
1,52 |
- |
2,15 |
|||||||||
Общие принципы заложенных в табл. 26 расчетов характеризуют следующие основные положения:
1. Все расчеты могут быть выполнены с использованием стандартных функций таблиц Excel.
2. Фонд использует три основных модели развития ИЖС для сельских жителей (модели рассмотрены ранее).
В основе всех расчетов положен пессимистический сценарий развития деятельности Фонда:
• сроки кредитования — максимальны;
• собственные средства сельских жителей — минимально возможный размер;
• все средства по финансовым статьям 9, 10, 11, 12 (в соответствии с табл.26) расходуются в полном объеме и на конец каждого шага расчета составляют 0,00 млн. руб.;
• возвращение средств по кредитам для заемщиков происходит в минимальном размере;
• не учитывается возможность заемщиков Фонда возвращать средства по кредитам сельскохозяйственной продукцией и другим имуществом;
• сельскохозяйственными организациями в приобретение ИЛ вкладываются минимальные средства;
• услуги Фонда и страховые взносы принимаются минимально возможными.
3. В табл. 26 заложена финансовая реализуемость деятельности Фонда, которая предполагает обеспечение такой структуры денежных потоков, при которой на каждом шаге расчета имеется достаточное количество средств для продолжения этой деятельности. При планировании финансовой реализуемости деятельности Фонда определяется потребность в привлеченных средствах на каждом шаге расчета, а также необходимости предусматривается вложение части положительного сальдо в строительство индивидуальных жилых домов.
4. В соответствии с Уставом Фонда, он является некоммерческой организацией и юридическим лицом по действующему на территории РФ законодательству. В связи с этим согласно порядку создания и регистрации некоммерческих организаций в РФ уставный капитал должен составлять не менее 100-кратного размера установленного законом минимального размера оплаты труда.
Суммарные средства учредителей фонда составляют 0,24 млн. руб., в том числе средства на уставный капитал.
5. Затраты по выпуску одного ИЛ, ведение личного дела застройщика и др. составляет 4 тыс. руб. Сельскохозяйственным организациям ИЛ реализуются по 8 тыс. руб.
6. В среднем стоимость одного квадратного метра общей площади индивидуального жилого дома составляет 9 тыс. руб. Средняя общая площадь индивидуального жилого дома принимается 160 м .
7. Плата за услуги фонда составляет 1%, а страховые взносы 0,083% от стоимости запланированного строительства индивидуального жилого дома. Следует заметить, что в этой сумме не отражается плата сельских жителей за участие в трех схемах развития ИЖС, т.е. за предоставленные кредитные средства.
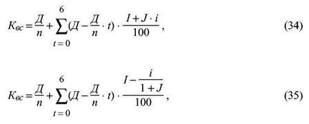
8. Объем возвращаемой суммы по бюджетному кредиту и кредиту Северо-Западного банка Сбербанка РФ равен:


где: t — коэффициент, характеризующий количество прошедших лет срока кредитования.
Каждый год происходит погашение несколько партий выданных кредитов заемщикам на строительство индивидуальных жилых домов и процентов по ним. Каждый платеж состоит из двух частей: погашаемой части основной суммы долга (кредита) и процентов, начисляемых на текущую сумму долга. Под текущим долгом понимается невыплаченный остаток основной суммы долга на начало каждого шага расчета, т.е. на момент времени непосредственно после очередного платежа.

