А.Н. Асаул, Ю.Н. Казаков, Н.И. Пасяда, И.В. Денисова
Теория и практика малоэтажного жилищного строительства в России
Под ред. д.э.н., проф. А. Н. Асаула. — СПб.: «Гуманистика», 2005. — 563с.
Глава 6. Экономические механизмы обеспечения населения жильем
6.3. Эффективные схемы финансирования индивидуального жилищного строительства
Основу деятельности Фонда должны составлять модели развития ИЖС для сельских жителей различных категорий, под реализацию которых планируется привлечение бюджетных источников различных уровней (см. 7.3).
В п. 6.2 было выявлено, что применение традиционных подходов к реализации проектов жилищного строительства является затруднительным. В частности, это касается моделей ипотечного кредитования. Однако авторы полагают, что полностью отказываться от положительного опыта в области ипотечного кредитования было бы неправильным. В этой связи авторы считают, что, например, в сельской местности могут и должны быть использованы элементы ипотечного кредитования с тем, чтобы предоставить сельским жителям возможность залога, которая является законным правом граждан РФ. Однако реализовать право закладывать дома в условиях проживания в сельской местности не всегда представляется возможным. Именно поэтому авторы считают целесообразным применение такой модели, которая, во-первых, позволяла бы закладывать сельским жителям незавершенное строительство, а во-вторых, для погашения кредитов использовать то имущество, которое характерно для сельской местности.
Для реализации данных подходов авторы предлагают модель развития ИЖС с использованием залоговых и зачетных отношений (рис. 41).
На первом этапе взаимоотношений Фонда и сельского жителя последнему необходимо сформировать пакет документов для заявки на финансирование ИЖС. При этом сельский житель обязан в соответствии со своими потребностями по финансированию (условия, сроки и т.д.) представить все юридически правильно оформленные документы, подтверждающие то или иное обстоятельство жизни сельского жителя в данной местности, что необходимо для заключения всех последующих договоров. Для выявления заявок, по которым будет принято положительное решение по финансированию, строится параметрическая таблица (пример представлен в табл. 18, соотношение баллов и градаций в которой принимается по методу кредитного скоринга Д. Дюрана, предложенного в начале 40-х годов XX в.).
В основу таблицы положено выявление:
- способности сельского жителя погасить кредит (оценка кредитоспособности);
- готовности сельского жителя погасить кредит (кредитная история);
- достаточности обеспечения кредита залогом и имущества, которое может быть представлено в зачет (анализ результатов оценки имущества, его качества и количества).
Решение о финансировании ИЖС для сельского жителя принимается на основе исчисления рейтинговой оценки, преимущество которой заключается в возможности учета неформализованных данных о сельском жителе и неформализованного подхода к принятию решения о возможности финансирования ИЖС. На основе всех данных о сельском жителе формируется индивидуальная параметрическая таблица, отражающая отдельные блоки параметров. Затем определяется оценка по каждому из представленных в таблице параметров либо с использованием начисляемых баллов, либо непосредственно из градаций, которые представлены в числовом виде.

Рис. 41. Развитие ИЖС в сельской местности с использованием залоговых
и зачетных отношений. Условные обозначения: 1 — заявка; 2 — первоначальный
взнос за индивидуальный жилой дом; 3 — реализация имущества, принятого в зачет
первоначального взноса, погашения кредита на строительные материалы и кредита
под залог (для Ленинградского областного агентства по регулированию
продовольственного рынка (ЛОГУП) — реализация сельскохозяйственной продукции); 4 — финансирование двух начальных этапов первой стадии строительных работ по
индивидуальному жилому дому; 5 — оформление кредита на строительные материалы; 6 — страхование строительных материалов; 7 — необходимые виды страхования
застройщика; 8 — возвращение кредита на строительные материалы и процентов по нему; 9 — оформление кредита под залог; 10 — финансирование оставшихся этапов строительства индивидуального жилого дома; 11 — страхование предпринимательских рисков Фонда; 12 — возвращение кредита под залог и процентов по нему;
Таблица 18
Параметрическая таблица для принятия решения по заявке на возможность финансирования ИЖС в сельской местности
|
Параметр |
Градации |
Начисляемый балл |
|
|
1 |
2 |
3 |
|
|
1. Наличие счета в банке |
нет |
0 |
|
|
сберегательные у членов семьи |
1 |
||
|
сберегательный |
2 |
||
|
текущие у членов семьи |
3 |
||
|
текущий |
4 |
||
|
сберегательный и текущий |
5 |
||
|
2.Сумма первоначального взноса |
5-9% |
0 |
|
|
10-14% |
1 |
||
|
15-19% |
2 |
||
|
20-24% |
3 |
||
|
25-30% |
4 |
||
|
Более 30% |
5 |
||
|
3. Срок по первому этапу кредитования |
менее 1 года |
5 |
|
|
1 год |
4 |
||
|
2 года |
3 |
||
|
3 года |
2 |
||
|
4 года |
1 |
||
|
5 лет |
0 |
||
|
4. Срок по второму этапу кредитования |
7-7,5 лет |
5 |
|
|
7,6-8 лет |
4 |
||
|
8,1-8,5 лет |
3 |
||
|
8,6-9 лет |
2 |
||
|
9,1-9,5 лет |
1 |
||
|
9,6-10 лет |
0 |
||
|
5. Кредитная история |
не смог отдать кредит |
0 |
|
|
ранее не было кредитов |
1 |
||
|
один раз брал кредит в какой-либо организации |
2 |
||
|
один раз брал кредит в банке |
3 |
||
|
периодически оформляет кредиты в каких-либо организациях |
4 |
||
|
периодически оформляет кредиты в банках |
5 |
||
|
6. Продолжительность жизни в сельской местности |
10 лет и менее |
0 |
|
|
менее 14 лет |
1 |
||
|
14-22 года |
2 |
||
|
23-31 год |
3 |
||
|
32-40 лет |
4 |
||
|
41-49 лет |
5 |
||
|
7. Наличие иждивенцев |
более 4 |
0 |
|
|
4 |
1 |
||
|
3 |
2 |
||
|
2 |
3 |
||
|
1 |
4 |
||
|
нет |
5 |
||
|
8. Наличие поручителей |
нет |
0 |
|
|
1 |
1 |
||
|
2 |
2 |
||
|
3 |
3 |
||
|
4 |
4 |
||
|
5 |
5 |
||
|
9. Работа, занятие |
студент |
0 |
|
|
служащий |
1 |
||
|
пенсионер |
2 |
||
|
рабочий |
3 |
||
|
безработный, занимающийся только личным подсобным хозяйством |
4 |
||
|
фермер |
5 |
||
|
10. Состояние здоровья |
наличие хронических заболеваний в стадии регрессии |
0 |
|
|
заболевания с кратковременными ухудшениями, не переходящие в хронич. форму |
1 |
||
|
легкие заболевания,не отражающиеся на физической работе |
2 |
||
|
легкие увечья (незначительные для физической работы) |
3 |
||
|
здоровый, нет заболеваний |
4 |
||
|
занятия спортом, здоровый образ жизни |
5 |
||
|
11. Размер земельного участка |
менее 0,1 га |
0 |
|
|
0,1-0,3 га |
1 |
||
|
0,4-0,6 га |
2 |
||
|
0,7-0,9 га |
3 |
||
|
1,0-1,2 га |
4 |
||
|
более 1,3 га |
5 |
||
|
физически устаревшая техника |
0 |
||
|
12.Наличие сельскохозяйственной техники |
морально устаревшая техника |
1 |
|
|
ручные приспособления |
2 |
||
|
отдельные виды автоматизации и ручных приспособлений |
3 |
||
|
отдельные виды автоматизации и все необходимые ручные приспособления |
4 |
||
|
все необходимые виды автоматизации и ручных приспособлений |
5 |
||
|
13. Наличие помощников для обработки земли |
нет |
0 |
|
|
1 |
1 |
||
|
2 |
2 |
||
|
3 |
3 |
||
|
4 |
4 |
||
|
5 |
5 |
||
|
14. Погашение процентов по кредиту |
денежными средствами |
В зависимости от планов деятельности Фонда и экономических условий в регионе |
|
|
сельскохозяйственной продукцией |
|||
|
крупным рогатым скотом или птицей |
|||
|
семенами |
|||
|
совмещение вариантов |
|||
|
15.Погашение суммы кредита |
денежными средствами |
В зависимости от планов деятельности Фонда и экономических условий в регионе |
|
|
сельскохозяйственной продукцией |
|||
|
крупным рогатым скотом или птицей |
|||
|
семенами |
|||
|
совмещение вариантов |
|||
|
16. Виды сельскохозяйственной продукции, предоставляемой в зачет |
по оценкам Ленинградского областного агенства по регулированию продовольственного рынка (ЛОГУП) потребностей региона |
по оценкам ЛОГУП |
|
|
17. Виды другого имущества, предоставляемого в зачет |
в зависимости от спроса |
в зависимости от спроса |
|
|
18. Возраст сельского жителя |
более 52, менее 21 |
0 |
|
|
46-52 года |
1 |
||
|
38-45 лет |
2 |
||
|
30-37 лет |
3 |
||
|
22-29 лет |
4 |
||
|
21 год |
5 |
||
|
19. Условия собственности по настоящему месту проживания |
найм |
0 |
|
|
аренда земли и дома |
1 |
||
|
аренда земли |
2 |
||
|
собственность детей |
3 |
||
|
собственность мужа/жены |
4 |
||
|
личная собственность |
5 |
||
|
20. Имеются ли другие места для проживания |
нет |
0 |
|
|
у дальних родственников |
1 |
||
|
1 |
2 |
||
|
2 |
3 |
||
|
3 |
4 |
||
|
4 и более |
5 |
||
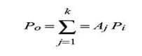
В заключении определяется общая рейтинговая оценка, на основе которой принимается решение о финансировании ИЖС для сельского жителя. Общий вид рейтинговой оценки представляется как [11]

где Ро — общая рейтинговая оценка, балл;
Pi — значением-го показателя, балл;
Aj — удельный весу-го показателя при условии, что;
к — число показателей.

В отдельных случаях можно руководствоваться только оценкой отдельных параметров или групп, которые будут является базой для сравнения при принятии решения о возможности финансирования ИЖС для разных сельских жителей.
Так как услуга обработки заявок для потенциальных застройщиков должна быть платной, то в случае отрицательного решения по заявке фонду необходимо взять на себя обязательство по предоставлению информации о возможных путях получения положительного решения по заявке в перспективе.
Размер первоначального взноса может быть любым в зависимости от возможностей застройщиков, но не ниже стоимости строительных работ двух начальных этапов первой стадии по индивидуальному дому, т.е. не ниже 5 % от стоимости индивидуального жилого дома:
земляные работы (рытье котлованов подвала и фундаментов, обратная засыпка грунта с уплотнением);
бетонные и железобетонные работы (устройство фундаментов, бетонной подготовки, отмостки).
Выполненные строительные работы будут служить обеспечением дальнейших взаимоотношений Фонда и застройщика.
Первоначальный взнос может вноситься не только денежными средствами, но и другим имуществом, принимаемым Фондом к зачету для первоначального взноса и реализуемым на сформированном им вторичном рынке:
сельскохозяйственная продукция;
крупный рогатый скот и птица (не единственные в наличие);
семена.
При формировании вторичного рынка сельскохозяйственного имущества Фонд может производить его реализацию жителям, организациям (только для сельскохозяйственной продукции).
Фонду выгоднее принимать в зачет, как первого взноса, так и всех последующих платежей, связанных с индивидуальным жилых домом, имущество, которое можно реализовать с определенной прибылью. Эта прибыль может быть направлена на осуществление необходимых видов страхования и другие мероприятия, связанные с деятельностью Фонда.
Строительную организацию или строителей для осуществления работ первой стадии застройщик вправе находить самостоятельно. Однако в этом случае, учитывая реалии сельской жизни, право расчетов со строителями остается у Фонда. Данное обстоятельство объясняется тем, что в основе функционирования Фонда лежит строго целевая направленность всех его операций, контроль которых жестко осуществляется как самим Фондом, так и государственными органами. После окончания строительных работ первой стадии по договору акта сдачи-приемки работ в обязательном порядке подписывают застройщик и представитель Фонда.
Общая схема слагаемых стоимости индивидуального жилого дома представлена на рис. 42.
Федеральным законом "Об ипотеке" [4] определяется возможность залога незавершенного строительства, а также материалов и оборудования, которые заготовлены для окончания строительства жилого дома. В связи с этим Фонд приобретает строительные материалы (на рис. 42 (1)), для застройщика, заключая с ним договор кредитования.
Поставщиков материалов сельский житель вправе находить самостоятельно. Фонд заключает кредитный договор с застройщиком на сумму не менее 50% от стоимости индивидуального жилого дома.
Процентная ставка Фонда за пользование кредитом составляет 7% годовых в рублях. Максимальный срок кредитования может достигать 5 лет. Целесообразность выбора этих кредитных параметров обосновывается в 7.3.
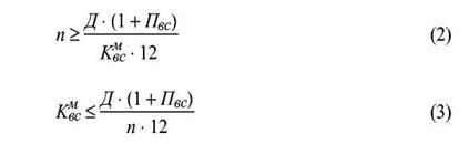
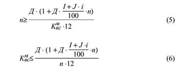
Застройщик, исходя из собственных возможностей, вправе выбирать наиболее важный для себя параметр — либо границу ежемесячных платежей за пользование кредитом, либо срок кредитования, что отражается неравенствами:

где п — срок кредитования, лет; Д— сумма кредита млн. руб.;
Пвс — полный объем возвращаемых средств по погашению процентов по кредиту, руб.;
V^c — полный объем возвращаемых средств по кредиту в месяц, руб.

Рис. 42. Слагаемые стоимости индивидуального жилого дома
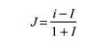
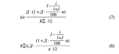
При столь малом максимальном сроке кредитования достаточно, чтобы инфляционную составляющую при отрицательной разнице годовой процентной ставки Фонда компенсировали средства, направляемые Минфином РФ, а при положительной разнице — средства Фонда, направляемые на формирование резервного фонда на непредвиденные расходы и расходы на уплату налогов. С тем, чтобы ввести в формулы инфляционные составляющие определим, что если годовая процентная ставка за кредит Фонда равна i, а годовой уровень инфляции — /, то процент, освобожденный от влияния инфляции (J), будет определяться по следующей формуле:

Преобразованная формула позволяет показать инфляционные составляющие при расчете границы ежемесячных платежей за пользование кредитом, или срока кредитования:
1. при условии, что годовая процентная ставка Фонда больше процента инфляции:

2. при условии, что годовая процентная ставка Фонда больше процента инфляции:

Подход, связанный с тем, что застройщику первоначально выдается кредит на строительные материалы, авторы обосновывают следующими положениями:
застройщик способен утвердить о себе положительную кредитную характеристику, своевременно выплачивая все платежи по кредиту;
в случае, если застройщик осознает для себя невозможность участия в данной модели развития ИЖС, в дальнейшем он не станет оформлять в Фонде кредит на постройку индивидуального жилого дома в полном объеме и сможет распорядиться строительными материалами по личному усмотрению, в том числе и отдав Фонду на реализацию;
в случае возникновения ситуации, когда застройщик не сможет осуществить платежи по кредиту, Фонд предоставляет ему строительные материалы на уже выплаченную сумму, а остальные оставляет для реализации. При этом выплаченные суммы процентов ему не возвращаются;
возможен неформализованный подход, заключающийся в дополнительном соглашении к кредитному договору между Фондом и застройщиком, что последний может погасить платеж в следующий раз наряду с очередным платежом (например, в связи с временным трудным финансовым положением);
при нахождении за время срока кредитования выгодных для застройщика предложений по строительству или при появлении возможности осуществить строительство некоторых этапов собственными силами, он вправе освоить необходимую для этого часть закупленных строительных материалов. При этом целевую направленность расходования материалов контролирует Фонд.
После окончания всех расчетов по кредиту на строительные материалы оформляется кредит на строительство оставшейся части индивидуального жилого дома. При оформлении кредита наиболее благоприятным условием является наличие созаемщика. В случае, если у застройщика нет возможности привлечь кого-либо в созаемщики применяются дополнительные обязательные виды страхования.
В качестве залога застройщиком предоставляется уже построенная часть индивидуального жилого дома и все оставшиеся строительные материалы, находящиеся у Фонда в доверительном управлении.
Таким образом, максимальный размер кредита будет составлять 45% от стоимости строительства индивидуального жилого дома.
При оформлении кредита Фонд достраивает индивидуальный жилой дом, куда застройщик сразу же может въезжать. После этого начинается этап выплаты платежей застройщиком по обслуживанию кредита.
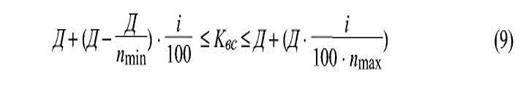
Процентная ставка Фонда за пользование кредитом под залог составляет 10% годовых в рублях, и применение процентной ставки носит фиксированный характер. Это означает, что какой бы ни была схема погашения основной суммы кредита, проценты на оставшуюся сумму основного долга начисляются по данной процентной ставке. Такой подход обусловлен первостепенной важностью для застройщика длительности срока кредитования и размеров ежемесячных платежей по обслуживанию кредита.
Срок кредитования составляет от 7 до 10 лет (исходя из реального подхода к взиманию ежемесячных платежей).

общий объем возвращаемых по кредиту средств будет лежать в пределах:
где Квс — полный объем возвращаемых средств по кредиту, млн. руб.;
nrnin — минимальный срок кредитования, лет;
Птах — максимальный срок кредитования, лет.
В связи с тем, что работа в сельской местности носит сезонный характер и, исходя из постоянной изменчивости ее результатов, погашение суммы основного долга можно производить несколькими разовыми (шаровыми платежами), приходящимися на пик сезонных работ на земельном участке (например, когда собирается большой урожай) или массового приплода скота (рис. 43).
Схема погашения кредитов и процентов по ним по схеме шаровых платежей применяется в мировой практике в нескольких разновидностях [76].
1. Постоянные (отсроченные) шаровые платежи предусматривают на протяжении всего срока кредитования выплату только процентов, а погашение основной суммы долга осуществляется единой суммой по окончанию срока кредитования.
2. Шаровой платеж с замораживанием процентных выплат. В этом случае по окончанию срока кредитования осуществляется единственный шаровой платеж.
3. Частичные шаровые платежи предполагают периодические вьплаты-выплаты как суммы основного долга, так и процентов по кредиту.
4. Мягкие шаровые платежи направлены на ежемесячное погашение процентов по кредиту и периодические выплаты по сумме основного долга.

Рис. 43. Схема погашения кредита под залог с использованием шаровых платежей
Из-за влияния сезонности на деятельность в сельской местности, последняя из рассмотренных схем шаровых платежей является, по мнению авторов, наиболее приемлемой для реализации и применения в рассматриваемой модели развития ИЖС в сельской местности.
При такой схеме оговаривается количество обязательных шаровых платежей (определяется застройщиком), выплата которых возможна вперед по сравнению с платежом по графику. Каждый выплаченный шаровой платеж уменьшает сумму долга, на которую начисляются проценты. Это обусловлено привлечением Фонда сразу большой суммы средств по кредиту и, учитывая русский менталитет, существует перспектива сокращения срока кредитования.
В отдельных случаях, когда застройщик планирует долгосрочное развитие своего хозяйства, то возможно "зеркальное" применение данной схемы, т.е. с увеличением выплат.
При применении других схем кредитования под залог следует учитывать реализацию следующего принципа: чем длиннее срок кредитования, тем больше должен быть полный объем возвращаемых средств по кредиту. Различные инструменты и технологии кредитования под залог рассмотрены, в частности, в исследованиях Г.А. Цылиной, Дж. М. Розенберга (Инвестиции. Терминологический словарь, 1997), а также в изданиях, посвященных финансовому менеджменту.
Все расчеты, связанные с выплатами по кредиту для различных сроков кредитования, можно осуществить в таблицах Excel. Технологии использования таблиц Excel в применении моделей финансового менеджмента приводятся в [79]. Следует отметить, что на некоторых этапах деятельности Фонда возможна корректировка процентной ставки за пользование кредитами фонда в соответствии с повышением в Ленинградской области индекса цен, индекса заработной платы и др. В обязательном порядке производится согласование приведения в соответствие процентной и выбранной ставок с Правительством Ленинградской области.
Возможны следующие варианты определения реальной процентной ставки:
1. При возрастании цен на ИЖС в сельской местности.
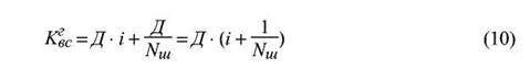
За основу примем условия погашения кредита под залог с использованием шаровых платежей: процентная ставка — 10% годовых в рублях; сумма кредита — 648000 руб. (45% от стоимости индивидуального жилого дома); количество шаровых платежей — пять.
Тогда номинальный платеж за пятый год (предполагается шаровой платеж) составляет: к (12) где:

Квс — полный объем возвращаемых средств по кредиту в год, руб.; Ntu — количество шаровых платежей. Реальный платеж за пятый год составит:

где:К$; — реальный полный объем возвращаемых средств по кредиту в год, руб.;
г — реальная годовая процентная ставка, %.
Реальный платеж отражает увеличение средней стоимости ИЖС в сельской местности, что определяется выражением:

где: S — годовой прирост стоимости ИЖС в сельской местности, %. Для осуществления дальнейших расчетов проведем математические преобразования.
Выразив показатель К^с из формулы (12) и подставив его в формулу (10), преобразуем

Преобразуем формулу (13) как:

Подставив выражение, полученное выше, в формулу (13) получим:
последнюю следующим образом:
![]()
Из выражения (15) выразим отдельно значения номинальной и реальной процентных ставок:

Допустим, по прогнозам рост стоимости ИЖС в сельской местности составит 4%, тогда реальная годичная ставка кредитного процента составит 8,85% (по формуле (16)).
1. С тем, чтобы Фонду получить 10% годовых, исчисляем значение номинальной процентной ставки в данном периоде. По формуле (16) она составит 11,2%.
2. При увеличении цен на сельскохозяйственную продукцию и другое имущество, принимаемое в зачет выплат по кредиту.
За исходные условия примем те же, что ранее, но, при этом расчетный год
— принимается второй. К исходным условиям необходимо добавить, что сельскохозяйственной продукцией будет возвращено 50% полного годового объема платежей по погашению процентов по кредиту, 30% — семенами и 20% крупным рогатым скотом и птицей.
Номинальный платеж за второй год:
![]()
где: Ссхп — стоимость сельскохозяйственной продукции, предоставляемой в зачет, руб.;
Ссп — стоимость крупного рогатого скота и птицы, предоставляемой в зачет, руб.;
Со — стоимость семян, предоставляемых в зачет, руб.
Реальный платеж по погашению процентов отражает увеличение стоимости всех видов имущества (если таковое было), принимаемых в зачет по погашению:
![]()
где: Scxn — годовой прирост стоимости сельскохозяйственной продукции в сельской местности, %;
Sen — годовой прирост стоимости крупного рогатого скота и птицы в сельской местности,%;
Sc — годовой прирост стоимости семян в сельской местности, %;
771с1 — реальный годовой платеж по погашению процентов, выплачиваемый сельскохозяйственной продукцией, руб;
77§£2 — реальный годовой платеж по погашению процентов, выплачиваемый крупным рогатым скотом и птицей, руб;
77йс3 — реальный годовой платеж по погашению процентов, выплачиваемый семенами, руб.
Приводим математические преобразования аналогичные преобразованиям в первом случае, откуда получаем:

Примем, что по прогнозам ожидается рост стоимости сельскохозяйственной продукции в сельской местности на 8% и на семена — 1%. Тогда реальная ставка кредитного процента составит 9,67%, а номинальная — 10,43% (для расчета используются формулы (20) и (21)) [91].
Минфин РФ принимает на себя обязательство, гарантирующее компенсацию разницы в процентных ставках, однако положительное решение о компенсации следует принимать исходя из действительной необходимости этого для застройщика, в соответствии с его заявлением о невозможности осуществить платеж по большей процентной ставке и предоставлении всех необходимых документов, характеризующих это обстоятельство.
При оформлении кредитов следует заключать определенные договора страхования (табл. 19).
Расчет страховых схем осуществляется с помощью актуарной математики, основные методы которой раскрываются в книге В.Б. Кутукова [29].
Смешанное страхование жизни. Личное страхование. Сохранение возможности погашения кредита у сельских жителей пожилого возраста, имеющих опасную профессию, заболевания и т.д. Страхование от несчастных случаев. Страхование кредита под залог осуществляется при участии страховой организации. По остальным видам страхования взносы могут погашаться сельскохозяйственной продукцией и другим имуществом, характерным для сельской местности.
Авторы книги полагают, что наряду с простым кредитованием сельских жителей, Фонду необходимо реализовывать и социальные функции соответствии с проблемами, выявленными в настоящей монографии. К таким функциям следует отнести привлечение и сохранение квалифицированных рабочих кадров в сельской местности. Так как жилье является одним из главных инструментов привлечения и сохранения рабочих кадров, авторами разработаны специальные, направленные на реализацию данных функций Фонда модели. Ддля цели сохранения кадров в сельской местности целесообразно привлечение таких внебюджетных источников для ИЖС как средства заинтересованных в квалифицированных работниках организациях, деятельность которых осуществляется в сельской местности.
Модель развития ИЖС с участием сельскохозяйственных организаций представлена на рис 44. На сумму субвенции (см. 5.1) Фондом выпускаются имущественные листы (ИЛ) с условным названием, которое характеризует направленность использования ИЛ только при реализации определенной программы развития ИЖС в сельской местности региона.
В процессе деятельности Фонда размер субвенции на выпуск ИЛ может пересматриваться в следующих случаях:
при изменении спроса на участие в реализации данной модели;
при появлении возможности у Фонда направлять собственные средства на выпуск ИЛ.
Таблица 19
Применяемые виды страхования
|
Классификация |
Вид страхования |
Цель страхования |
Страхователь |
Форма проведения |
|
Имущественное страхование |
От огня и других стихийных бедствий строительных материалов, находящихся на ответственном хранении у Фонда |
Сохранение всех потребительских свойств строительных материалов |
Сельский житель |
Обязательное страхование |
|
От огня и других стихийных бедствий индивидуального жилого дома |
Сохранение всех потребительских свойств индивидуального жилого дома как объекта залога |
|||
|
Сельскохозяйственных культур от неблагоприятных природных явлений (например, засухи) |
Сохранение возможности погашения процентов по кредиту |
и |
Добровольное страхование |
|
|
На случай падежа и вынужденного забоя крупного рогатого скота и птиц |
и |
|||
|
Личное страхование |
Смешанное страхование жизни |
Сохранениевозмож-ности погашения кредита у сельских жителей пожилого возраста, имеющих опасную профессию, заболевания и т.д. |
и |
Обязательное страхование в случае единственного заемщика, в остальных случаях-добровольное |
|
Страхование от несчастных случаев |
Сохранение возможности погашения кредита у сельского жителя |
и |
||
|
Страхование предпринимательских рисков |
Страхование кредита под залог |
Уменьшение кредитного риска, при отношении сельского жителя к рискованным группам заемщиков |
Фонд |
Добровольное страхование |
Один ИЛ соответствует одному квадратному метру общей площади индивидуального жилого дома. Номинальная цена одного ИЛ при равнивается к общей стоимости, предоставляемых Фондом услуг.
Развитие ИЖС с привлечением сельскохозяйственных организаций участию работника сельскохозяйственной организации в данной схеме развития ИЖС, включающей себестоимость выпуска ИЛ, оформление и ведение в Фонде личного дела работника, оказание ему риэлтерских и юридических услуг и др. Номинальная стоимость должна быть не более 1/3 стоимости одного квадратного метра выбранного для строительства индивидуального жилого дома:

где: Рижд — стоимость индивидуального жилого дома, руб.;
S — общая площадь индивидуального жилого дома, м .
При обработке в Фонде заявки работника сельскохозяйственной организации выявляется целесообразность и утверждается возможность последней участвовать в данной модели.
Реальная стоимость ИЛ, по которой они будут реализовываться сельскохозяйственной организации, составляет удвоенную номинальную стоимость, с целью возмещения средств на выпуск ИЛ:

где: Рил — реальная стоимость ИЛ, руб.
|
где: Рил — стоимость одного ИЛ, руб. Подставив (24) в (23), выразим: |

Стоимость индивидуального жилого дома выражается через стоимость ИЛ следующим образом:
![]()
В случае если Рш окажется равен выражению в правой части неравенства (25), то возможно два варианта:
1. Сельскохозяйственная организация может отказаться от участия в данной модели развития ИЖС, так как при этом она не получит никакой дополни-

В таком случае Фонд может купить все ИЛ для строительства индивидуального жилого дома по цене Л —, а расчеты с работником по погашению стоимости ИЛ производить из расчета суммы, которая максимально может составлять S ■ Рил, т.е. Рижд. С тем, чтобы оплатить оставшеюся сумму для строительства индивидуального жилого дома, работник сельскохозяйственной организации должен взять кредит в Фонде.
Таким образом, при любых вариантах оплаты строительства индивидуального жилого дома одна часть его стоимости будет оплачена сельскохозяйственной организацией, а другая — из заемных средств работника этой организации.
На втором этапе работы Фонда с заявками, работник сельскохозяйственной организации предоставляет гарантийное письмо от сельскохозяйственной организации на предмет обязательства покупки требуемого количества ИЛ для финансирования ИЖС для своего работника.
Кредит Фонда выдается под 12% годовых в рублях, исходя из реальных месячных выплат, которые может осуществлять сельский житель с учетом предстоящих погашений сельскохозяйственной организации. Большая процентная ставка по сравнению с моделью развития ИЖС с использованием залоговых и зачетных отношений объясняется участием в данной модели обязательно работающих сельских жителей, тогда как первая модель по большей части ориентирована на наиболее бедные слои сельского населения. Максимальный срок кредитования составляет 10 лет. При этом максимальная сумма кредита Фонда будет равна:

При этом работник сельскохозяйственной организации может выбирать более важный для него параметр.
С реализацией данных направлений могут быть решены многие существующие проблемы социальной инфраструктуры села.
Авторы пришли к выводу, что, основная цель развития ИЖС в этой связи — строительство индивидуальных жилых домов с фиксированными рабочими местами для специалистов с необходимыми помещениями в соответствии с полученной профессией. Таким образом, можно привлечь дипломированных специалистов, получающих образование в крупных городах (например, в г. Санкт-Петербурге) и не желающих возвращаться в сельскую местность из-за неудовлетворительных условий жизни. Данная проблема имеет длительную историю. Как справедливо замечал В.В. Святловский еще в самом начале XX в. [114, с. 126] — деревня посылает сюда (в город) свои лучшие трудоспособные силы, а сама этим истощается".
С целью исправления данной ситуации необходимо развитие ИЖС с широким использованием индивидуальных жилых домов "растущего типа" — со строительством всех необходимых хозяйственных построек. Например, для пчеловода необходимы зимовник, сотохранилище, пчеловодная мастерская и другие постройки. При этом вести пасеку может только специально обученный человек, иначе она, как показывает практика, развиваться не будет.
Организация строительства индивидуального жилого дома для специалиста с использованием метода "растущего дома" дает возможность снизить первоначально стоимость дома, и за счет этого осуществить строительство всех необходимых для работы построек. Таким образом, основная цель такого строительства — это получение дополнительной площади жилья, которая могла бы принести доход, т.е. формирование экономически эффективных рабочих мест.
В развитие данного подхода к строительству индивидуальных жилых домов творческой мастерской ОАО "ПСО "Леноблагрострой" был разработан каталог типовых малоэтажных индивидуальных жилых домов, основная часть которого отведена проектам домов "растущего типа". Объемно-планировочные, конструктивные и инженерные решения индивидуальных жилых домов позволяют продолжать строительство после ввода в эксплуатацию части дома, возведенной на первом этапе. Максимальное число этапов пристройки — четыре. На первом этаже возводится центральная часть, имеющая конструктивные решения стен, окон, дверей, крыши и других элементов, учитывающих сопряжение с соответствующими элементами дома на последующих этапах строительства. Системы инженерного обеспечения центральной части дома таюкже рассчитаны на подключение всех инженерных систем пристраиваемых частей дома [115]. Часть разработанных проектов домов представлена в главе 5.
В связи с тем, что "растущий дом" предназначен для дипломированных специалистов, которые, как правило, являются людьми молодого возраста, такое строительство несет в себе особую актуальность, в связи с возможностью приводить жилую площадь индивидуального дома в соответствии с возрастающими потребностями семьи. Таким образом, использование метода "растущего дома" может решить несколько проблем: привлечение молодых специалистов в сельскую местность, поддержка создания молодой семьи и снижение безработицы в Ленинградской области. Основным принципом создания фиксированного рабочего места для специалиста в сельской местности является объединение физического и экономического рабочего места, что определяет прямую зависимость между материально-вещественным и социально-экономическим аспектами рабочего места.
Модель развития ИЖС с целью привлечения квалифицированных рабочих кадров в сельскую местность представлены на рис. 44.

Рис. 44. Развитие ИЖС с привлечением сельскохозяйственных организаций. Условные обозначения: 1 — выпуск ИЛ Фондом; 2 — заявка; 3 — первоначальный взнос за индивидуальный жилой дом; 4 — реализация имущества, принятого в зачет взноса и погашения кредита на покупку ИЛ; 5 — продажа ИЛ сельскохозяйственной организации; 6 — оформление кредита на покупку ИЛ; 7 — финансирование строительства индивидуального жилого дома; 8 — возвращение кредита на покупку ИЛ и процентов по нему; 9 — передача Фондом ИЛ работнику сельскохозяйственной организации; 10 — возвращение средств, предоставленных сельскохозяйственной организацией своему работнику на приобретение ИЛ; 11 — передача сельскохозяйственной организацией ИЛ своему работнику; 12 — передача Фонду всех накопленных ИЛ; 13 — переход права собственности на индивидуальный жилой дом
Каждое заявление дипломированного специалиста оценивается на предмет необходимости данной профессии для определенных районов сельской местности. С этой целью возможно использование показателя, характеризующего потребность какого-либо района сельской местности в той или иной профессии на определенный момент времени и создании фиксированного рабочего места:
![]()
где: О\ — доля сельских жителей, ищущих работу по данной профессии и зарегистрированных в службе занятости, %;
02 — средняя продолжительность официально зарегистрированной безработицы в месяцах, деленная на 12;
Оъ — доля сельских жителей, работающих по данной профессии в режиме неполной занятости, %;
04 — доля сельских жителей, занимающихся данной профессией в "теневом секторе"%;
а — весовой коэффициент, характеризующий уровень незанятости по данной профессии, что соответствует соотношению зарегистрированных и незарегистрированных безработных по данной профессии;
b — весовой коэффициент, характеризующий уровень неполной занятости по данной профессии.
Основой для определения параметров кредита будет являться чистый доход специалиста в месяц, предназначенный для выплат по кредиту Фонда:
![]()
где:
Дх — чистый доход от деятельности специалиста;
щ — доход от деятельности специалиста; 3 — все затраты, связанные с проживанием; Зс — затраты на страхование.
Если в соответствии с предварительной оценкой Дх будет величиной отрицательной, то решение по удовлетворению заявки не принимается.
На основе двух вышеуказанных параметров принимается решение по заявке на строительство индивидуального жилого дома для дипломированного специалиста.
При оформлении кредитае на организацию в сельской местности фиксированного рабочего места для дипломированного специалиста Фонд может учитывать возможность специалиста внести первоначальный взнос за индивидуальный жилой дом. На оставшуюся сумму выдается кредит, который будет погашаться средствами, полученными специалистом от ведения профессиональной деятельности. Возвращаемые средства могут быть как денежными, так и натуральными (в зависимости от сферы деятельности специалиста).
В первый год после выдачи кредита его погашение и процентов по нему не производится в связи с необходимостью развития деятельности дипломированного специалиста.
Срок кредитования устанавливается не более 10 лет. Ставка процента принимается 15% годовых.
Для определения соотношения параметров кредита используется следующее неравенство:

Исходя из неравенства (29) можно определить параметры кредита, имеющие для специалиста первостепенное значение:


Специалисту необходимо застраховать индивидуальный жилой дом со всеми прилегающими постройками, так как его доход, из которого будет погашаться кредит и проценты по нему, напрямую с ними связан. При этом срок страхования должен быть равен сроку кредитования специалиста.

Рис. 45. Развитие ИЖС с целью привлечения квалифицированных рабочих кадров в сельскую местность. Условные обозначения: 1 — заявка; 2 — первоначальный взнос за индивидуальный жилой дом; 3 — оформление кредита на финансирование строительства индивидуального жилого дома и организацию фиксированного рабочего места; 4 — финансирование первого этапа (и последующих этапов) индивидуального дома "растущего типа"; 5 — страхование индивидуального жилого дома; 6 — осуществление профессиональной деятельности и получение прибыли; 7 — возвращение кредита на строительство индивидуального жилого дома и организацию фиксированного рабочего места
Таким образом, три предложенные модели развития ИЖС в сельской местности (с использованием залоговых и зачетных отношений, с привлечением сельскохозяйственных организаций и модель, направленная на привлечение в сельскую местность квалифицированных рабочих кадров) призваны помочь решить следующие основные задачи развития сельской местности Ленинградской области в целом:
• восстановление полноценного сельского уклада жизни за счет улучшения условий проживания;
• сохранение существующих рабочих мест в сельскохозяйственных организациях;
• создание новых рабочих мест для квалифицированных специалистов.

