К.С. Айнабек
Теория общественного хозяйствования
(Альтернатива экономической теории и экономикса)
Учебник: исправл. и дополн. – Караганда: КЭУК, 2014. – 608с.
| Предыдущая |
Раздел 2. Методология социализации рыночного хозяйствования
Глава 11. Модернизация механизма воспроизводства национальной экономики
11.3. Показатели и методы измерения экономического роста
Макроэкономика представляет национальную экономику как систему взаимосвязанных субъектов: домохозяйств, фирм, учреждений, отраслей, подразделений, регионов и государства, функционирующих в масштабе страны. Развитие субъектов в системе экономических отношений должно контролироваться и корректироваться агрегированными показателями на макроуровне.
В экономической литературе имеются традиционно использующиеся агрегированные показатели развития макроэкономики. Например, один из соавторов учебника по экономической теории М.В.Саврончук пишет: «…простое определение и исчисление экономического роста связано с крупнейшим показателем национальных счетов — ВВП (или ВНП) в реальном, то есть очищенном от инфляции, выражении»[1, c. 558]. Естественно, российский автор опирается на положения западных экономистов по вышеприведенному поводу[2, c. 435–437].
Экономический рост рассматривается как «относительное изменение объема реального ВВП (или ВНП), происходящее за рассматриваемый период»[1, c. 558]. Это положение является исходным в традиционном смысле определения уровня и темпов экономического роста. Далее в измерении экономического роста используется показатель производительности труда. «Это — то, что мы получаем вместо того, что вкладываем, т.е. выход продукции. Если соотношение между вкладом и выходом увеличивается, экономика развивается, если уменьшается, наблюдается спад»[3, c. 54]. Однако данные авторы противоречат себе, когда утверждают, что производительность труда в масштабе макроэкономики определяется соотношением «ВВП на душу населения», или «ВВП на одного работающего», или «ВВП на отработанный час»[3, c. 54–55].
Во-первых, в макроэкономике под «вкладом» нужно понимать вложенные овеществленные затраты труда (С1 + С2); во-вторых, «выходом» будет валовой общественный продукт (С1 + С2 + V + m); в-третьих, нужно сопоставлять не «соотношения между вкладом и выходом», а, наоборот, выход выпуска — валового общественного продукта (Y) к вкладу.
Конечно, здесь наши оппоненты могут возразить о том, что выходом должен быть валовой внутренний продукт (ВВП), поскольку последний рассчитывается без учета промежуточного продукта (ПП) или (С2). Однако для полноценного видения и анализа экономического роста необходим по требованию механизма действия закона стоимости учет Y (ВОП) и ВВП.
Производительность в макроэкономике М.В.Саврончук характеризует как показатель определения качества экономического роста. «К ним, — пишет он, — прежде всего, относятся производительность труда Y/L, производительность капитала Y/R и производительность земельных (природных) ресурсов Y/N. Эти показатели определяют качество факторов производства и, следовательно, качество экономического роста»[1, c. 561].
Данные перечисленные показатели характеризуют эффективность овеществленных или живых затрат труда, но не производительность, поскольку «понятие производительности включает капитал в его физическом выражении, а также и «человеческий» капитал, или трудовые ресурсы. Такое определение универсально. …Производительность может обеспечивать получение большего или меньшего объема продукции и включает такие понятия, как «эффект» и «эффективность»[3, c. 54].
После некоторого обзора традиционных положений и отдельных точек зрения нужно обратить внимание на методологию измерения экономического роста, которая должна основываться на механизме действия экономических законов.
Для измерения экономического роста нужно учитывать следующие показатели: Y, ВВП (ВНП), численность населения страны, производительность и эффективность труда в масштабе макроэкономики, уровни и темпы Y, ВВП, производительности и эффективности труда, которые должны определяться на основе общественно необходимых затрат труда, т.е. учета «общего знаменателя» или «общего критерия оценки».
Нужно отметить, что, рассчитывая уровни и темпы роста ВВП, производительности труда в определенные периоды, исходят из базисного года[2, c. 423]. Однако такой подход имеет некорректный момент в содержании, поскольку данные разных периодов не имеют «общего знаменателя» как между собой, так и с базисным годом. Для сопоставимости содержания данных показателей нужно сложить их и определить среднее значение за определенные периоды, затем этот средний показатель должен стать «общим знаменателем», который позволит сделать расчет экономического роста при сопоставлении с определенными периодами на основе фактических данных и среднем их значении как общественно необходимая величина. Далее делать сравнения ВВП различных стран на основе исходных фактических данных одного из высокоразвитых государств также безосновательно и некорректно, поскольку они не сопоставимы в связи с тем, что уровни развития производительных сил этих стран различны. Сравнение показателей различных стран нужно вести после приведения их к «общему знаменателю». Например, при сопоставлении показателей различных стран за определенный период нужно привести их к общему знаменателю на основе общественно необходимых затрат труда. В таком случае сравнение показателей будет корректным и поставлено на научную основу.
Чтобы осуществить сопоставление показателей за определенные периоды и выявить экономический рост в масштабе макроэкономики необходимо использовать: а) методы определения общественно необходимых затрат труда; б) методы определения уровней и темпов роста Y и ВВП, производительности труда.
Методы определения общественно необходимых затрат труда на основе взаимосвязанных способов расчета и математических формул, отличающихся исходным положением, в котором учитываются все затраты общественного производства, как материальной, так и нематериальной сферы, позволяют выявить критерии оценки общественной деятельности в экономике, или «общий знаменатель» (см. табл. 8).
Основное содержание методов представляется в модернизированной модели определения общественно необходимых затрат труда, символах и математических формулах.
Содержание символов: i — отрасли; åin — общее
количество отраслей;
— средняя величина; n
— количество; Y — выпуск — валовой общественный продукт; W —
совокупные затраты общественного труда; аф — амортизационное отчисление
физического износа основных средств производства;
Таблица 8
Модернизированная модель определения общественно необходимых или обективно предельных затрат труда на основе отраслей
|
№ |
i |
Y |
aф |
ПП |
ДС |
|
k |
Y1 |
Y–Y1 |
|
|
W |
C1 |
C2 |
V + m |
|
k |
W1 |
W–W1 |
|
||
|
|
|
|
|
|
|
|
|
|
|
|
I |
i1 |
+ |
+ |
+ |
+ |
+ |
+ |
+ |
+ |
+ |
|
II |
i2 |
+ |
+ |
+ |
+ |
+ |
+ |
+ |
+ |
+ |
|
n |
in |
+ |
+ |
+ |
+ |
+ |
+ |
+ |
+ |
+ |
|
n1 |
åin |
+ |
+ |
+ |
+ |
+ |
– |
+ |
+ |
+ |
|
n2 |
|
+ |
+ |
+ |
+ |
+ |
– |
– |
– |
– |
С1 — амортизация основных средств производства; ПП — промежуточное потребление; С2 — промежуточный продукт; ДС — добавленная стоимость; (V + m) — затраты живого труда; k — коэффициент приведения индивидуальных затрат труда к общественно необходимой величине; Y1 — общественно необходимая величина выпуска — валового общественного продукта; W1 — общественно необходимая величина совокупных затрат общественного труда; (+) — символ заполненной клетки цифровыми данными; (–) — символ отсутствия данных.
Формулы, используемые в определении общественно необходимых затрат труда:

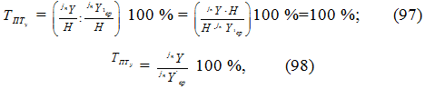
Далее нужно отметить, что методы определения уровней и темпов роста Y и ВВП, производительности труда зависят от способов расчета общественно необходимых затрат труда. Это видно по следующим формулам:
![]()
где
— уровень Y j-го
года, рассчитанный на основе общественно необходимых величин Y;
![]()
где Тy — темпы роста Y j-го периода;
![]()
где
— средняя величина из совокупности Y/
j-го периода; n — количество годов рассматриваемого периода;
![]()
где ТВВП — темпы роста ВВП j-го периода;
![]()
где
— средняя величина из совокупности ВОП`
j-го периода; n — количество годов рассматриваемого периода;
![]()
где ПТВОП — производительность труда на основе ВОП j-го периода; Н — численность населения;

где
— темпы роста производительности труда на
основе Y;

где ПТВВП — производительность труда на основе ВВП j-го периода;

В вышеприведенных формулах производительность труда определяется на основе Y, ВВП и численности населения. В них отсутствует в знаменателе формально время, так как представляется в пределах года производства Y и ВВП. Определение в масштабе национальной экономики производительности труда на основе численности только работающих представляется не совсем корректным, поскольку Y и ВВП предназначены для характеристики развития всего общества. Подобные показатели микроэкономики трансформированы на макроуровне, тем самым они должны отражать требования новых условий.
Трансформируется также показатель эффективности на макроуровне. Здесь нужно отметить, что главным показателем эффективности в масштабе национальной экономики является результат соотношения фактических Y или ВВП к общественно необходимым величинам Y/ или ВВП/. Это можно выразить в следующих формулах:
![]()
где Эy — эффективность Y j-го периода;
![]()
где ЭВВП — эффективность ВВП j-го периода.
Таким образом, расчеты показателей эффективности на
макроуровне тождественны методам определения уровней предложения
удовлетворенного спроса. Также определяются эффективности Y и ВВП на
основе только фактических данных за определенный период, что можно наблюдать по
следующим формулам:![]()
![]()
где
— эффективность фактического Y j-го
периода.
![]()
где
— эффективность фактического ВВП j-го
периода.
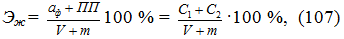
Также считается важным определение эффективности живого труда по отношению к овеществленным затратам в масштабе макроэкономики:
![]()
где Эж — эффективность живого труда.
Далее, используя систему вышеприведенных формул, можно определить уровень развития и взаимосвязь между отраслями, финансовым и реальным сектором экономики, анализировать процесс его формирования, прогнозировать перспективу развития национальной экономики.
Методология определения развития национальной экономики, взаимосвязи финансового и реального секторов экономики на основе общего знаменателя оценки позволит выявить финансовые пузыри в структуре национальной экономики и отдельно в каждой отрасли, и секторе экономики.
Для анализа, складывающейся тенденции экономического роста и отклонения от объективно предельных величин, определения финансовых пузырей необходимо рассматривать развитие отраслей в структуре национальной экономики. В таблице 9 предлагаются данные 4 отраслей и итоги по всем отраслям для анализа.
Уровень выпуска товаров и услуг промышленности (Y) за 2004–2011 годы колебался от 58,2 до 77 %. В 2011 г. он упал на 9,1 % по сравнению с 2010 годом. В целом по промышленности объективно предельная величина совокупного спроса превышал совокупное предложение в 2011 г. на 32,1 %. Этот факт говорит о том, что есть потенциал развития и данной сферы, но, с другой стороны, о существовании проблем и недостаточности роста, поскольку уровень выпуска товаров промышленности ниже общественно необходимой величины.
Таблица9
Динамика уровней выпуска (Y) отраслей за 2004–2011 гг. в Республике Казахстан٭, (в %).
|
№ |
Отрасли |
2004 |
2005 |
2006 |
2007 |
2008 |
2009 |
2010 |
2011 |
|
1 |
Промышленность |
67,5 |
70,5 |
72,4 |
58,2 |
62,6 |
73,5 |
77 |
67,9 |
|
2 |
Сельское хозяйство, охота, лесоводство |
121,7 |
136 |
121 |
142,9 |
154,2 |
107,2 |
78 |
99,9 |
|
3 |
Торговля и сфера обращения, ремонт автомобилей |
140,7 |
58,5 |
152,5 |
163,3 |
143,3 |
132,4 |
142,4 |
118,6 |
|
4 |
Финансовая деятельность |
355,2 |
252,3 |
274 |
456,8 |
118,4 |
268 |
239,2 |
124,7 |
|
5 |
Итого по отраслям Республики Казахстан |
93,1 |
92,7 |
92,4 |
91,7 |
91,9 |
95,4 |
94,7 |
93,4 |
______________________
٭ Рассчитано и составлено на основе авторских методов и данных: Национальные счета Республики Казахстан /Статистический сборник/ на казахском и русском языках /2004-2006; 2007-2011, Астана 2013, с.39-48. http://www.stat.gov.kz
В противоположных направлениях вверх и вниз за 2004–2011 годы двигались уровни Y данных отраслей. В секторе сельского хозяйства, охоте и лесоводства уровень Y упал с 154,2 % в 2008 году до 99,9% в 2011 году. Однако в сфере товарного обращения и особенно в финансовой деятельности наблюдаются превышение фактических данных от объективно предельных величин.
Данные противоположные тенденции в целом положительны относительно к национальной экономике, поскольку они направлены на балансировку составных частей. Но к отрицательной тенденции относится повышение уровня Y в финансовой сфере. Он превысил объективно предельную величину соответственно от 1,2 до 3,6 раза за рассматриваемый период, что способствовал диспропорциональности развития отраслей реального сектора экономики. Это является одним из факторов, обусловливающих возникновение финансовых пузырей, экономических кризисов и социальных потрясений.
Экономические показатели макроэкономики представляются ориентиром в развитии рыночной экономики, показывающие рубежи экономического роста. К важнейшим показателям относятся валовой внутренний продукт (ВВП), валовой национальный продукт (ВНП), национальный доход (НД) и другие. От величины роста ВВП зависит будущее национальной экономики, развитие общества, культуры.
ВВП представляется совокупностью добавленной стоимости всех субъектов национальной экономики за отчетный год в пределах пространствен-
ных границ страны. «Суммируя добавленные стоимости, произведенные всеми фирмами в стране, можно определить ВВП, который и представляет рыночную оценку всех выпущенных товаров и услуг»[4, c. 322]. ВВП очищен от повторного счета и составляет сумму конечных продуктов и услуг за год. «Под конечными продуктами мы понимаем товары и услуги, которые покупаются для конечного пользования, а не для перепродажи или дальнейшей обработки или переработки»[5, c. 133].
ВВП как экономический показатель (СНС) системы национальных счетов создан в целях измерения совокупного производства в стране. «Это нужно для того, чтобы показать, что общественное счетоводство выполняет для экономики в целом те же функции, что бухгалтерский учет для отдельного предприятия или, в другом случае, для домашнего хозяйства»[5, c. 132]. Однако система национальных счетов не позволяет в полноте регулировать процессы в масштабе макроэкономики в направлении минимизации издержек трансакций, повышения эффективности издержек общественного воспроизводства.
СНС позволяет констатировать факт роста совокупного конечного продукта, совокупной добавленной стоимости, видеть преимущественно изменения затрат живого труда в текущем году. Вместе с тем большая часть затрат овеществленного труда остается за пределами (СНС) системы национальных счетов. Эти затраты овеществленного, прошлого труда, хотя не включаются в ВВП, применяются активно в производстве и служат вещественной основой
последнего. Поэтому возникает необходимость учета в общественной бухгалтерии макроэкономики всех овеществленных и живых затрат труда и их соотношение для определения путей снижения издержек трансакций, обращения, воспроизводства.
Для регулирования экономическими процессами необходимо учитывать, исходя из требований закона стоимости, общий объем затрат в кругообороте общественного производства за текущий год, соотношение в нем овеществленных и живых затрат труда. Но ВВП представляется, как совокупность добавленной стоимости всех отраслей общественного производства, то есть совокупность затрат живого труда (V + m), где V — сумма заработной платы; m — сумма прибыли, процента, ренты.
Несомненно, в ВВП присутствуют овеществленные затраты труда, но они не учитываются в качестве последних, а берут в счет затраты живого труда текущего года, воплощенных в вещественную часть, которая увеличивается в процессе оборота и перехода в следующую стадию преобразования.
В систему национальных счетов необходимо внести дополнительно следующие экономические показатели: выпуск (Y) или валовой общественный продукт (SW), общий коэффициент эффективности добавленной стоимости или затрат живого труда (kд), коэффициент приведения индивидуальных затрат труда к общественно необходимым (kс), издержки общественного воспроизводства (Св), чистый доход общества (ЧДО).
Выпуск (валовой общественный продукт) определяется как сумма овеществленного и живого труда всех субъектов национальной экономики за текущий год, включающая затраты сферы материального производства и услуг.
SW = S [С + (V + m)], (108)
где S — сумма; С — овеществленные затраты труда; (V + m) — добавленная стоимость; V — необходимые затраты живого труда (заработная плата); m — прибавочные затраты живого труда (прибыль, процент, рента).
Общий коэффициент эффективности добавленной стоимости определяется отношением суммы овеществленных, прошлых затрат труда к сумме добавленной стоимости:
kд = [C : (V + m)]. (109)
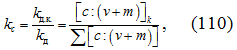
Коэффициент приведения индивидуальных затрат труда к общественно необходимым (kс) определяется соотношением коэффициента эффективности добавленной стоимости конкретной отрасли (kд.к.) к общему коэффициенту эффективности добавленной стоимости (kд) текущего года:

Издержки общественного воспроизводства представляют общую сумму издержек воспроизводства отраслей, которая необходима для определения чистого дохода общества:
SW – SCв = ЧДО. (111)
Выпуск или валовой общественный продукт (SW) дает возможность видеть весь объем использования ресурсов с учетом кругооборотов за текущий год в стоимостном выражении. Далее, сопоставление в выпуске (валовом общественном продукте, SW) частей С:(V + m) позволяет определить эффективность добавленной стоимости. А определение общего коэффициента эффективной добавленной стоимости (kд) позволяет вычислить коэффициент приведения индивидуальных затрат труда к общественно необходимым (kс). Он даст возможность определить общественно необходимые величины затрат труда конкретных отраслей:
, (112)
где
— общественно
необходимые величины затрат труда конкретной отрасли.
Знание индивидуальных и общественно необходимых затрат труда позволит при сопоставлении определить отклонения первых от объективно требуемых.
Вышеприведенные показатели необходимы в управлении макроэкономическими процессами. Предлагаемые макроэкономические показатели на основе учета общественно необходимых величин в качестве общего критерия оценки хозяйственной деятельности на мезо- и макроуровнях позволяют выявить диспропорции и пути балансировки совокупного спроса и предложения как на уровне отраслей, так и в целом по национальной экономике. В связи с этим здесь отметим то, чтобы привести в соответствие уровень развития производительных сил масштабам общественного производства, необходимо приведение в равновесие не только совокупный спрос и совокупное предложение в целом по национальной экономике, а также и по всем отраслям в отдельности. Только тогда равновесие совокупного спроса и совокупного предложения в макроэкономике будет способствовать развитию соответствия производительных сил масштабам общественного производства. А это значит, что государство и общество овладели и могут использовать механизм функционирования рыночной экономики.
Понятия и термины
Экономический рост; уровень валового общественного продукта на основе общественно необходимых величин; темпы роста валового общественного продукта; темпы роста валового внутреннего продукта; темпы роста производительности труда на основе валового общественного продукта; эффективность валового общественного продукта на основе общественно предельных величин; эффективность валового внутреннего продукта на основе общественно предельных величин; эффективность фактического валового общественного продукта; эффективность фактического валового внутреннего продукта; эффективность живого труда.
Рассматриваемые вопросы
1. Проблемы определения макроэкономических показателей в измерении экономического роста.
2. Использование методов определения общественно необходимых затрат труда и средних величин в измерении экономического роста.
3. Анализ динамики уровня и темпов экономического роста.
Вопросы к семинарским занятиям
1. Агрегированные показатели экономического роста.
2. Показатели измерения экономического роста на основе общественно необходимых затрат труда.
3. Методы измерения динамики уровня и темпов экономического роста.
Упражнения
Ответьте на поставленные вопросы и определите вид проблемы (научная или учебная), обоснуйте свою точку зрения, выявите систему проблем по теме.
1. Какие проблемы существуют в измерении экономического роста?
2. Чем отличаются показатели “производительность труда” и “эффективность труда”?
3. Какие микроэкономические показатели необходимы в измерении динамики экономического роста?
Темы для рефератов
1. Роль макроэкономических показателей в развития отраслей национальной экономики.
2. Современные методы определения экономического роста.
3. Проблемы экономического роста в формировании социально-рыночной экономики.
Литература
1. Курс экономической теории/Под общей ред. Чепурина М.Н., Киселевой Е.А. - Киров, 2000.
2. С.Фишер, Р.Дорнбуш, Р.Шмалензи. Экономика/Пер. с англ. со 2-го изд. - М., 1997.
3. Грейсон Джексон К. младший, О`Делл Карла. Американский менеджмент на пороге XXI века. - М., 1991.
4. ФРГ /Отв. ред. Г.А. Буланов. - М., 1990.
5. К.Р. Макконнелл, С.Л.Брю. Экономикс: Принципы, проблемы и политика. В 2 т./Пер. с англ. 11-го изд. Т.1. - М., 1992.
| Предыдущая |

