Катаева Т.М.
Методические указания по выполнению лабораторных работ по курсу «Макроэкономика»
| Предыдущая |
Лабораторная работа №2
Основные макроэкономические показатели системы национальных счетов (СНС)
I. Цель работы
1. Исследовать основные макроэкономические показатели систе-мы национальных счетов (СНС).
2. Проанализировать изменения номинального и реального ВВП, индекса-дефлятора ВВП за период с 1999 по 2010 гг.
3. Проанализировать влияние изменения выпуска товаров и услуг на национальный доход.
II. Общие сведения
Система национальных счетов представляет собой совокупность статистических макроэкономических показателей, характеризующих величину совокупного продукта (выпуска) и совокупного дохода, позволяющих оценить состояние национальной экономики. СНС содержит основные показатели совокупного выпуска (объема производства): валовой национальный продукт (ВНП); валовой внутренний продукт (ВВП); чистый национальный продукт (ЧНП), чистый внутренний продукт (ЧВП) и три показателя совокупного дохода: национальный доход (НД); личный доход (ЛД); располагаемый личный доход (РЛД)
До начала 80-х годов основным показателем, характеризующим совокупный объем производства, был показатель валового национального продукта. Однако в современных условиях в связи с интернационализацией экономических и хозяйственных связей и трудностями подсчета валового национального продукта (ВНП), поскольку национальные факторы производства каждой страны используются во многих других странах мира, основным показателем совокупного объема выпуска стал валовой внутренний продукт (ВВП).
Валовой внутренний продукт (ВВП) - это совокупная рыночная стоимость всех конечных товаров и услуг, произведенных в экономике (внутри страны) в течение одного года.
Для расчета ВВП может быть использовано три метода:
- по добавленной стоимости (производственный метод).
- по доходам (распределительный метод);
- по расходам (метод конечного использования);
Использование этих методов дает одинаковый результат, поскольку в экономике совокупный доход равен величине совокупных расходов, а величина добавленной стоимости равна стоимости конечной продукции, при этом величина стоимости конечной продукции есть не что иное, как сумма расходов конечных потребителей на покупку совокупного продукта.
При расчете ВВП по расходам суммируются расходы всех макроэкономических агентов:
- личные потребительские расходы (С) – расходы домашних хозяйств на товары, услуги длительного пользования и текущего потребления;
- государственные расходы (G) – расходы государства на закупку продуктов и услуг, напр. на оборону, здравоохранение, образование и т.п.;
- валовые частные внутренние инвестиции (I), включающие производственные капиталовложения в основные фонды и запасы материальных оборотных средств;
- чистый экспорт (Xn) – расходы иностранного сектора, рассчитывается как разность между экспортом и импортом, и соответствует сальдо торгового баланса.
.![]()
При расчете ВВП распределительным методом суммируются все виды факторных доходов (заработная плата наемных работников с социальными отчислениями, валовая прибыль и смешанный доход) и два компонента, не являющихся доходами, - потребление основного капитала и чистые налоги на производство.
При расчете производственным методом ВВП вычисляется как разность между выпуском товаров и услуг в целом по стране (валовым выпуском) и промежуточным потреблением (или как сумма добавленных стоимостей (ДС), создаваемых в отраслях экономики). Объемы добавленных стоимостей по отраслям рассчитываются в основных ценах (основная цена — цена, получаемая производителем за единицу товара или услугу, исключая любые налоги на продукты и на импорт, но с учетом субсидий на продукты и на импорт). Добавив чистые (за вычетом субсидий) налоги на продукты и на импорт, получим ВВП в рыночных ценах.
ВВП = Валовой выпуск – Промежуточное потребление + Чистые налоги на продукты и импорт
Валовой национальный продукт (ВНП) - это совокупная рыночная стоимость всех конечных товаров и услуг, созданная общественными предприятиями как внутри страны, так и за рубежом.
Чистый внутренний продукт (ЧВП) и чистый национальный продукт (ЧНП) отражают производственный потенциал экономики, так как включают в себя только чистые инвестиции (Inet) и не включают стоимость потребленного капитала (ПОК), т.е. аморти-зацию (А).

или
ЧВПпо доходам = Зар.плата + Рента + Процентные платежи + Доходы собственников + Прибыль предприятий + Косвенные налоги - Чистые факторные доходы из-за рубежа
Национальный доход (НД) - это совокупный доход всего населения страны, заработанный собственниками экономических ресурсов, т.е. сумма факторных доходов.
Его можно получить:
а) либо, если из ЧНП вычесть косвенные налоги:
НД = ЧВП - Косвенные налоги на бизнес
б) либо, если просуммировать все факторные доходы:
НД = Зар. плата + Арендная плата + Процентные платежи + Доходы собственников + Прибыль предприятий
Личный доход (ЛД) – совокупный доход, полученный собственниками экономических ресурсов, который попадает в домашние хозяйства.
ЛД = НД – взносы на социальное страхование – налог на прибыль корпораций – нераспределенная прибыль корпораций + трансферты + проценты по государственным облигациям
или
ЛД = НД – взносы на социальное страхование – прибыль корпораций + дивиденды + трансферты + проценты по государственным облигациям
Располагаемый личный доход (РЛД) - доход после уплаты налогов для непосредственного расходования домашними хозяйствами
РЛД = ЛД - индивидуальные налоги.
Домохозяйства тратят свой располагаемый доход на потребление (С) и сбережения (S):
РЛД = C + S.
Основные показатели СНС отражают результаты экономической деятельности за год и выражены в ценах данного года, т.е. являются номинальными. Номинальные показатели не позволяют произвести межстрановые и межвременные сравнения, так как на них оказывает влияние изменение уровня инфляции, поэтому рассчитывают также реальные показатели, выраженные в неизменных ценах.
Номинальный ВВП – это ВВП, рассчитанный в рыночных ценах текущего года, ареальный ВВП – это ВВП, рассчитанный в сопоставимых (неизменных) ценах, в ценах базового года и скорректирован с учетом инфляции (роста уровня цен) или дефляции (уменьшения уровня цен).
Реальный ВВП= Номинальный ВВП / Индекс цен (I).
Если I < 1, то происходит корректировка номинального ВВП в сторону увеличения (инфлирование). Если I > 1, то происходит корректировка номинального ВВП в сторону уменьшения (дефли-рование).
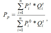
Индекс цен (дефлятор ВВП) рассчитывается как отношение номинального ВВП к реальному, а также путем деления стоимости рыночной корзины в ценах исследуемого года к ее стоимости в ценах базового года, т.е. по типу индекса Пааше, где в качестве весов используется набор благ текущего периода:
,
где - цены i-блага соответственно в базисном (0) и текущем (t) периоде; - количество i-блага в текущем периоде.
III. Содержание отчета
Отчет по лабораторной работе составляется индивидуально каждым студентом.
Отчет должен содержать следующие результаты и выводы:
1. Тему, цель выполнения и вариант работы.
2. Расчетные данные, результаты.
3. Графическое решение задач и анализ полученных результатов.
IV. Задание к лабораторной работе
1. В табл. 2.1 приведены данные по величине ВВП в России за период 1999-2010 гг. в текущих и в постоянных ценах 2008 г. Приведены также значения индекса-дефлятора ВВП, для которых базисным годом является 2008 г. Необходимо:
1.1. Заполнить пропуски в табл. 2.1. Произвести расчет индекса-дефлятора ВВП в процентах к предыдущему году.
1.2. Рассчитать темп роста реального ВВП, полученные данные оформить в виде таблицы.
1.3. Построить диаграмму, отражающую изменения темпа роста реального ВВП за период 1999-2010 гг.
Таблица 2.1
Соотношение величин номинального и реального валового внутреннего продукта и дефлятора ВВП в России за период с 1999-2010 гг.[1]
Год |
ВВП в текущих ценах, |
ВВП в базовых ценах 2008 г., млрд руб. |
Индекс-дефлятор ВВП, % |
Дефлятор ВВП, (в % к пред.году) |
1999 |
4823,2 |
22536,0 |
… |
|
2000 |
7305,6 |
… |
29,46 |
|
2001 |
… |
26062,5 |
34,32 |
|
2002 |
10819,2 |
27312,3 |
… |
|
2003 |
13208,2 |
… |
45,07 |
|
2004 |
… |
31407,8 |
54,21 |
|
2005 |
21609,8 |
33410,5 |
… |
|
2006 |
26917,2 |
… |
74,49 |
|
2007 |
… |
39218,7 |
84,77 |
|
2008 |
41276,8 |
41276,8 |
… |
|
2009 |
38786,4 |
… |
101,93 |
|
2010 |
… |
39586,5 |
113,52 |
|
2. Используя данные в табл. 2.1-2.2, необходимо рассчитать, в соответствие с номером варианта, величину национального дохода (НД) и определить, насколько она изменится при увеличении выпуска товаров и услуг: на 10 %, 20 %, 30 % при прочих равных условиях. Исходные данные и результаты расчетов оформить в виде таблицы.
3. Построить графики и уравнений функций НД и выпуска товаров и услуг. Проанализировать полученные результаты.
Таблица 2.2
Данные по экономике России за период с 1999-2000 гг., млрд руб.
Год |
Выпуск товаров и услуг[2] |
Потребление основного капитала[3] |
Косвенные налоги на бизнес[4] |
1999 |
8303,2 |
0,01*ВВП |
240,4 |
2000 |
12552,2 |
0,09*ВВП |
700,8 |
2001 |
15922,8 |
0,08*ВВП |
1013,4 |
2002 |
18973,7 |
0,07*ВВП |
1347,8 |
2003 |
2325,7 |
0,06*ВВП |
1617,4 |
2004 |
29490,6 |
0,05*ВВП |
1893,5 |
2005 |
37020,6 |
0,04*ВВП |
2883,0 |
2006 |
46223,9 |
0,03*ВВП |
2365,0 |
2007 |
57752,1 |
0,02*ВВП |
2658,5 |
2008 |
71609,5 |
0,01*ВВП |
2619,4 |
2009 |
69130,6 |
0,02*ВВП |
3478,4 |
2010 |
79165,8 |
0,03*ВВП |
4410,9 |
V. Рекомендации по выполнению лабораторной работы
Задание выполняется в программе Microsoft Office Excel 2007.
При расчете темпа роста реального ВВП необходимо использовать следующие формулы:
*100 %,
где ВВПреал1 – ВВП в базовых ценах 2008 года в некоторый начальный период времени, например, в 1999 г., ВВПреал2 – ВВП в базовых ценах 2008 года в некоторый конечный период времени, например, в 2000 г.
При построении диаграммы (см. п. 1.3. задания) необходимо выделить два столбца таблицы, в которой приведены годы и изменения темпа роста реального ВВП за период 1999-2010 гг., далее на закладке Вставка выбрать Диаграмма → Точечная → Точечная с прямыми отрезками и маркерами.
Для корректного оформления области полученной диаграммы необходимо указать ее название, заголовки вертикальной и горизонтальной оси координат. Сделать это возможно при работе с данными диаграммы: Конструктор → Макеты диаграмм → Макет 1.
При построении графиков и уравнений функций НД и выпуска товаров и услуг необходимо на закладке Вставка выбрать Диаграмма → График. Для построения уравнения функций необходимо выделить построенную кривую (прямую), нажать правую кнопку мыши и во всплывающем диалоговом окне выбрать Добавить линию тренда. Во всплывающем окне Формат линии тренда определить параметры линии (указать вид функции, которая будет наиболее точно описывать существующую зависимость) и поставить «галочку» - показать уравнение на диаграмме.
VI. Варианты к лабораторной работе
№ вар. |
1 |
2 |
3 |
4 |
5 |
6 |
год |
1999 |
2000 |
2001 |
2002 |
2003 |
2004 |
№ вар. |
7 |
8 |
9 |
10 |
11 |
12 |
год |
2005 |
2006 |
2007 |
2008 |
2009 |
2010 |
[1] Источник: сайт Федеральной службы государственной статистики http://www.gks.ru/
[2]Социально-экономические показатели Российской Федерации в 1991 - 2009гг. (приложение к статистическому сборнику "Российский статистический ежегодник. 2010") [Электронный ресурс] / Официальный сайт Федеральной службы гос. статистики. – Режим доступа:http://www.gks.ru/wps/wcm/connect/rosstat/rosstatsite/main/publishing/catalog/statisticCollections/doc_1270707126016">http://www.gks.ru/wps/wcm/connect/rosstat/rosstatsite/main/publishing/catalog/statisticCollections/doc_1270707126016
[3] В лабораторной работе данная величина задана условно.
[4] Косвенные налоги на бизнес включают в себя налог на добавленную стоимость, акцизы по подакцизным товарам (продукции), налоги, сборы и регулярные платежи за пользование природными ресурсами. Источник данных: Россия в цифрах. Крат.стат.сб. / Госкомстат России. M., 2001-2011.
| Предыдущая |

