С.В. Гриненко
Т.В. Седова
Практикум по статистике
| Предыдущая |
Тема № 8. Статистический анализ деятельности предприятия
8.1. Методические указания
Экономическая эффективность общественного производства в целом во многом определяется производственной деятельностью предприятий (прежде всего промышленных предприятий), где непосредственно осуществляется процесс производства обществен-ных благ и услуг. Статистический анализ эффективности производ-ственной деятельности предприятий связан с использованием целой системы показателей, отражающих степень эффективности соотно-шения ресурсных факторов производства (затрат) с конечными результатами (конечным продуктом).
Статистика предприятия включает в себя следующие разделы:
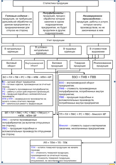
- Статистика продукции (рис. 36).
- Статистика трудовых ресурсов (рис. 37, рис. 38).
- Статистика материальных ресурсов (рис. 39).
- Статистика эффективности и деловой активности (рис. 40).

Рис. 36. Статистика продукции

Рис. 37. Показатели статистики продукции

Рис. 38. Статистика персонала предприятия

Рис. 39. Статистика материальных ресурсов

Рис. 40. Статистика эффективности и деловой активности
8.1.1. Примеры решения задач
Задача 1. Данные по машиностроительному предприятию:
№ |
Показатель |
Сумма, млн руб. |
1 |
Произведено и отгружено потребителям готовой продукции |
1 430 |
2 |
Оплачено покупателями |
1 300 |
3 |
Выработано полуфабрикатов |
982 |
4 |
Переработано полуфабрикатов в собственном производстве |
740 |
5 |
Реализовано полуфабрикатов на сторону |
30 |
6 |
Выполнено работ по заказам на сторону |
610 |
7 |
Остаток незавершенного производства на начало периода |
155 |
8 |
Остаток незавершенного производства на конец периода |
220 |
9 |
Сумма материальных затрат |
1 105 |
Решение:
ВО = 1430 + 982 + 610 + 220 – 155 = 3087 млн руб.
ВП = 1430 + 982 – 740 + 610 + 220 – 155 = 2347 млн руб.
ТП = 1430 + 30 + 610 = 2070 млн руб.
РП = 1300 + 30 + 610 = 1940 млн руб.
Коэффициент реализации – выручка на 1 рубль ТП:
Коэффициент товарности – стоимость ТП, приходящаяся на 1 рубль ВП
Коэффициент валового выпуска – объем ВП, приходящийся на 1 рубль ВО
Задача 2. Основные средства предприятия:
Дата |
Сумма, млн руб. |
1.01.2010 г. |
250 |
1.02.2010 г. |
340 |
1.04.2010 г. |
300 |
1.07.2010 г. |
272 |
1.08.2010 г. |
272 |
1.10.2010 г. |
210 |
31.12.2010 г. |
310 |
Решение:
Задача 3. Движение основных средств предприятия:
Баланс основных фондов предприятия за 2010 г. (по первоначальной стоимости, млн руб.) |
|||||||
Цех |
На нача-ло года |
Поступило за 2010 г. |
Выбыло за 2010 г. |
Реализо-вано |
На конец года |
||
Всего |
Введе-но в дейст-вие |
Всего |
Ликвидировано |
||||
№ 1 |
1 144 |
57 |
30 |
100 |
10 |
90 |
1 101 |
№ 2 |
780 |
405 |
355 |
283 |
140 |
143 |
902 |
Итого |
1 924 |
462 |
385 |
383 |
150 |
233 |
2 033 |
За отчетный год персоналом предприятия в количестве 5 000 чел. было произведено 5 700 млн руб. продукции.
Рассчитать показатели, характеризующие основные фонды предприятия.
Решение:
Наличие основных фондов на конец периода:
Коэффициент поступления:
Коэффициент выбытия:
Показатель фондовооруженности:
Показатель фондоотдачи:
Задача 4. Предприятие за отчетный год реализовало продукции на сумму 1 850 млн руб. Оборотные средства на начала года составили 190 млн руб. На конец отчетного года объем оборотных средств сократился на 4 %.
Рассчитать показатели оборотных фондов предприятия.
Решение:
Среднегодовая стоимость оборотных средств:
Коэффициент оборачиваемости:
Коэффициент закрепления:
Средняя продолжительность оборота:
Задача 5. Использование рабочего времени на предприятии:
- Среднесписочная численность рабочих – 780 чел.
- Календарных дней в квартале – 92 дня.
- Рабочих дней в квартале – 65 дней.
- Отработано человеко-дней – 44 054 чел./дн.
- Целодневные простои – 105 чел./дн.
- Выходные и праздничные дни – 21060 чел./дн.
- Очередные отпуска – 5 600 чел./дн.
- Неявки по болезни – 559 чел./дн.
- Учебные отпуска – 53 чел./дн.
- Неявки с разрешения администрации – 188 чел./дн.
- Прочие неявки, предусмотренные законом – 109 чел./дн.
- Прогулы – 32 чел./дн.
- Фактически отработано человеко-часов – 343 621 чел./час.
- Продолжительность рабочего дня – 8 часов.
Решение:
Баланс рабочего времени:
Ресурсы |
чел./дн. |
Использование |
чел./дн. |
Календарный фонд |
71 760 |
Фактически отработано |
44 054 |
Праздничные и выходные дни (-) |
21 060 |
Целодневные простои |
105 |
Очередные отпуска (-) |
5 600 |
Неявки по уважительным причинам |
721 |
Прочие неявки |
220 |
||
Максимально возможный фонд |
45 100 |
Максимально возможный фонд |
45 100 |
Коэффициент использования календарного фонда:
Коэффициент использования табельного фонда:
Коэффициент использования максимально возможного фонда рабочего времени:
Коэффициент использования явочного фонда:
Фактическая продолжительность рабочего периода:
Коэффициент использования рабочего периода:
Фактическая продолжительность рабочего дня:
Коэффициент использования рабочего дня
| Предыдущая |

