А.Н. Асаул, Б. М. Капаров
Управление высшим учебным заведением в условиях инновационной экономики
под ред. д.э.н, проф. А. Н. Асаула – СПб.: «Гуманистика», 2007. - 280с.
| Предыдущая |
Глава IV. Методические подходы к совершенствованию системы управления вузом
4.3. Влияние оптимизации организационной структуры на конкурентоспособность вуза
Наступление информационной эпохи, выражающееся в массовой компьютеризации, внедрении и развитии новейшей информационной базы, радикально изменило не только схему передачи знаний, но и методы обучения. Появление новых образовательных систем ставит задачу осмысления их целевых функций, поиска оптимальных структур, направленных на обеспечение качества обучения в условиях роста потребностей общества в образовательных услугах.
В новых социально-экономических условиях управление высшим учебным заведением должно быть иным, чем прежде; важен выбор направления и методов совершенствования управления высшим учебным заведением. Заметим, что подавляющая часть материалов относится к управлению академической деятельностью, оставляя вне рамок изучения иные, реально выполняемые виды деятельности вуза. Такой концентрированный интерес к управлению академической деятельностью определяется не только тем, что эта деятельность занимает доминирующее поле в жизни высшего учебного заведения, но и тем, что руководители этого вида деятельности полагают себя подготовленными к определению направления и методов совершенствования управления академической деятельностью.
В основном, выделяются три направления совершенствования управления академической деятельностью: совершенствование управления учебным процессом на основе его формализации, его компьютеризации, закономерностей межличностных отношений. Безусловно, представленные направления актуальны и востребованы высшей школой. Но не менее важной является оценка состоятельности используемых методов для достижения поставленных целей; необходимая методическая подготовка – свидетельство истинного умения управлять. Пожалуй, только компьютеризация управления высшим учебным заведением и академической деятельностью, в частности, представлена крайне интересными образцами ведущихся разработок.
Анализ методов, предлагаемых для совершенствования управления академической деятельностью в высшем учебном заведении, показывает, что они представляют собой обобщения педагогики высшей школы, педагогической психологии советского периода развития России. С глубоким уважением относясь к истории российской высшей школы, мы хотели бы подчеркнуть существенное различие в целевых установках деятельности высшей школы в советский период и настоящее время. Поэтому оценочные требования к личностным качествам преподавателя, такие как наблюдательность, рефлексия, остроумие, ораторские способности, артистичность, столь необходимые, когда процесс обучения на 70–80 % представлял собой аудиторные занятия, существенно теряют свою значимость, когда центр тяжести обучения переносится на самостоятельную работу, погруженную в современные информационные ресурсы. Поэтому разработка контрольно-измерительных материалов, ориентированных на перечни знаний, умений и навыков Государственных образовательных стандартов, вряд ли будет эффективной, пока остается не определенным само понятие «потребительское качество подготовки специалистов».
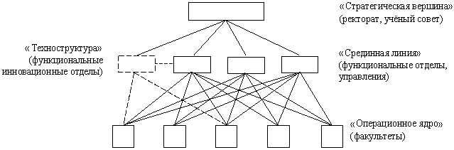
Собственно говоря, такой путь реформирования управления проходят все организации, в том числе и высшие учебные заведения, чтобы успешно работать в среде рыночной экономики. Традиционная модель управления высшим учебным заведением трансформируется в модель, представленную на рисунке 4.3.
Как видно из Рис. 4.1, трехуровневая структура управления высшим учебным заведением «стратегическая вершина» — «срединная линия» — «операционное ядро» приобретает дополнительный элемент — «техноструктуру» (технологическую структуру).

Рис. 4.1 – Инновационная матричная система управления высшим учебным заведением
«Техноструктура» занимает уровень «срединной линии», но не является ее составляющей, так как отличается от «срединной линии» по выполняемым функциям, используемым принципам и целям действий. Если основные функции «срединной линии» по своей сущности являются контрольно-распорядительными, то функции «техноструктуры» – преимущественно организационными. Задачи «техноструктуры» концентрируются на анализе эффективности того или иного вида деятельности высшего учебного заведения и организации в этом виде деятельности инноваций. Естественно, характер инноваций, требующий соответствующего уровня подготовленности, предполагает совместное участие в них либо всех, либо только части структурных подразделений «операционного ядра». В любом случае в основе действий «техноструктуры» лежит матричный принцип управления, в то время как функционирование «срединной линии» базируется на линейном принципе. Появление «техноструктуры» в управлении высшим учебным заведением представляет собой инструмент организации активных действий вуза в рыночной среде, что способствует значительному улучшению конкурентного положения вуза на рынке образовательных услуг России. Кроме того, становление и развитие «техноструктуры» является необходимым условием успешной трансформации высших учебных заведений в учебно-научно-инновационные комплексы (УНИК). Перескакивание через этап естественных подготовительных преобразований управления может свести формирование УНИК не более чем к кампании с присущей такого рода мероприятиям результативностью.
Эффективное участие в процессах инновационного развития вуза требует от специалистов, во-первых, практического освоения фундаментальных основ специальности, во-вторых, углубленного изучения перспективных методов и технологий специальности, в-третьих, дополнительного освоения знаний, умений и навыков из других специальностей, необходимых для успешной работы и конкуренции на рынке образовательных услуг России, что необходимо для успешной оптимизации факторов организационной структуры. В связи с этим целью деятельности созданной «техноструктуры» – инновационного образовательного центра является организационное и научно-методическое обеспечение инновационной академической деятельности вуза.
Исходя из цели деятельности инновационных образовательных центров (ИОЦ), а также основных функций «техноструктуры», таких как информационно-аналитическая и организационная, Положение об Инновационном образовательном центре вуза может определять следующие задачи: исследование тенденций и перспектив развития высшего профессионального образования; подготовка материалов для стратегического планирования деятельности вуза; маркетинговое исследование рынка труда на предмет установления количественных и качественных запросов потребителей образовательных услуг (работодателей, физических лиц). Также возможно применить подготовку предложений для определения способов диверсификации академической деятельности по специальностям подготовки в виде следующих образовательных траекторий: углубленная специализация; дополнительная квалификация; вторая специальность; разработка нормативной учебно-методической документации (образовательный стандарт, учебный план, образовательные программы, график учебного процесса) для реализации образовательных траекторий диверсифицированной академической деятельности; реализация диверсифицированной академической деятельности и ее сопровождение; разработка методов управления качеством образовательной деятельности в университете; подготовка материалов для независимой экспертизы качества образовательной деятельности; обеспечение связей с общественностью по вопросам образовательной деятельности вуза.

Рис. 4.2 – Система управления образовательным процессом в динамике с самонастройкой по качеству
В качестве главного параметра вектора развития вуза можно принять экономический параметр, который играет роль источника «энергии» системы.
Рассматриваемая на входе системы «энергия» представляет собой различные ресурсы (материальные, людские и финансовые – денежные средства, получаемые за обучение). Для исследования поведения системы во времени в блоках выделены экономические параметры (1.2, 2.2, 3.2, 4.2, 5.2). Исследуем общее функционирование системы по блокам.
На вход системы управления поступают параметры, характеризующие все планируемые направления учебного процесса (специальности и уровни подготовки, количество студентов, результаты вступительных испытаний, параметры и качество обучения, сроки обучения, образовательные стандарты) и экономические показатели (плановая прибыль, стоимость обучения и др.). Все входные параметры из блока 1 поступают в блок 2, где происходит детализация входных параметров. Этот блок состоит из организационной структуры образовательного процесса и финансовых средств, предопределяющих экономическое воздействие на образовательный процесс. В блоке 2 формируются управляющие воздействия для блока 3 – объекта управления, который представляет собой реально действующий образовательный бизнес-процесс.
Здесь осуществляются функции группового и индивидуального образовательного бизнес-процесса по всем предметам, контроль знаний, проведение практических и лабораторных занятий, подготовка и защита дипломного проекта (работы).
Функционированием блоков 1, 2, 3 завершается основной цикл системы управления, которым полностью описываются традиционные образовательные процессы. На выходе системы – дипломированные специалисты и экономические показатели учебного процесса. Блоки 4, 5, 6 превращают обычную систему управления традиционным образовательным процессом в систему с обратной связью и с элементами самонастройки, которые характеризуют образовательную систему открытого типа. Блок 4, осуществляя сбор и сохранность всей информации об обучении конкретных студентов, деятельности преподавателей, качестве методических материалов, а также отражает экономические показатели управления денежными потоками, позволяет провести «сравнение» плана с фактом и «улучшить», таким образом, систему. В этом же блоке рекомендуется постоянно отслеживать рынок труда, выявляя конкурентоспособные специальности или отдельные направления, которые прямо влияют на конкурентоспособность выпускаемого специалиста.
Результаты «сравнения», осуществляемые в блоке 6, попадают в блок 2, где вырабатываются корректирующие воздействия на объект управления. Это могут быть изменения учебных планов, инициированные изменившимися потребностями на рынке труда, введение новых специальностей или отдельных дисциплин, повышение требований к качеству преподавания, к полноте и качеству информационного обеспечения образовательного бизнес-процесса.
Особое место в предлагаемой системе управления образовательным процессом отводится блоку 5, где производятся самонастройка, анализ и оптимизация системы на основе оценки всех параметров качества. Наличие элементов самонастройки и коррекции в учебном процессе позволяет максимально развивать индивидуальные формы обучения, применять формы дистанционного образования.
Таким образом, систему управления образовательным процессом можно рассматривать как систему с двумя замкнутыми контурами регулирования.
Первый – обычный, характерный для замкнутых систем управления, в которых существует отрицательная обратная связь. Отрицательная обратная связь необходима для получения требуемых параметров на выходе системы, которые задаются блоком входных параметров. Обратная связь осуществляет подачу выходных параметров на блок сравнения, в котором сравниваются входные и выходные параметры и по результатам сравнения вырабатывается сигнал управления для блока управления – регулирования и коррекции, причем этот сигнал снижает отклонения выходных параметров от входных. Этому контуру соответствует структурная схема: блок 1 – блок 2 – блок 3.
Особое значение придается блоку самонастройки. Здесь задача повышения качества обучения студентов решается не путем изменения параметров регулятора (блока управления), имеющего определенную структуру, а путем изменения структуры регулятора. Как правило, в самоорганизующуюся систему встраивается тот или иной критерий качества функционирования системы (в нашем случае качество выпускаемых специалистов) в условиях внешней среды. Система самостоятельно, путем автоматического поиска с применением вычислительных или логических операций, выбирает такую структуру (из возможных, имеющихся в ее распоряжении), при которой удовлетворяется заданный критерий качества функционирования системы. Это достигается путем подключения или отключения различных звеньев в блоке управления в некоторой логической последовательности с фиксированием (запоминанием) более эффективных структур.
В самоорганизующейся системе должен быть анализатор или оптимизатор качества. Анализатор включается, когда нужно обеспечить заданное в определенных пределах качество. В качестве анализатора может применяться, в частности, математическая эталонная модель специалиста с желаемыми профессиональными качествами.
Оптимизатор предназначается для отыскания и осуществления максимально возможного в данной системе (при данных реальных условиях ее работы) качества.
Очевидно, что при прочих равных условиях самоорганизация, т. е. автоматический поиск оптимальной структуры системы по результатам анализатора или оптимизатора является процессом более сложным и более длительным, чем самонастройка параметров блока управления. Поэтому речь может идти об объектах, работающих в более или менее стационарных условиях, изменяющихся либо медленно, либо редкими скачками.
Таким образом, преимущество предлагаемого подхода на конкурентоспособность вуза, прежде всего в гибкости, модульности построения функционально-предметной информационной области, а это в свою очередь прямо зависит от «энергии», которая поступает или, вернее, должна поступать в орган управления в виде достаточных финансовых ресурсов.
Так как высшее учебное заведение является сложной социально-экономической системой, то при рассмотрении проблем совершенствования управления им, необходимым представляется и рассмотрение вопросов, связанных с мотивацией сотрудников вуза, ее влиянием на эффективность управления образовательным бизнес-процессом вуза.
| Предыдущая |

