Система управления развитием интеллектуального капитала компании
Management system of development of the intellectual capital of the company
Мансуров Руслан Евгеньевич,
Кандидат экономических наук,
Директор Зеленодольского филиала Института экономики, управления и права (г.Казань)
Mansurov Ruslan,
The candidate of economical sciences,
The director Zelenodolsk of branch of Institute of economics, control and right (Kazan)
Аннотация. В данной статье предлагается один из возможных подходов к построению системы управления развитием интеллектуального капитала. Также предложена методика оценки стоимости интеллектуального капитала, которая базируется на вероятностном подходе.
Ключевые слова: интеллектуальный капитал, интеллектуальный потенциал, стоимость интеллектуального капитала компании.
The summary. In the given article one of the possible approaches to a building of a system of control of development of the intellectual capital is offered. A technique of estimation of cost of the intellectual capital also is offered, which one bases on the probabilistic approach.
Keywords: the intellectual capital, intellectual potential, cost of the intellectual capital of the company.
В настоящее время очень много говорится о необходимости модернизации экономики и инновационного прорывы с целью выхода отечественных предприятий на конкурентоспособный с западными компаниями уровень. Все это правильно. Однако все это немыслимо без координального изменения подходов к управлению человеческими ресурсами. И даже уже сам термин «человеческие ресурсы» не отражает актуальной действительности – того, чем нужно управлять. С нашей точки зрения тут больше подходит термин «интеллектуальный капитал компании», который следует понимать как совокупность интеллектуального потенциала компании и интеллектуальной собственности компании, выраженная в денежной форме, которая обеспечивает инновационность развития с целью достижения экономической эффективности и усиления конкурентных преимуществ компании на рынке.
В свою очередь под интеллектуальным потенциалом предлагаем понимать внутренние и внешние возможности компании состоящие: из человеческого потенциала компании, инфраструктурного потенциала компании, «корпоративной памяти компании», работ по НИОКР, инновационных проектов на стадии разработки и внедрения, которые обеспечивают формирование интеллектуального капитала компании с целью ее инновационного развития, повышения конкурентоспособности и экономической эффективности.
Это в теории. Можно долго спорить по поводу формулировок что под чем понимать, однако актуальность развития интеллектуального капитала и инновационного прорыва через это развитие не вызывает ни у кого сомнений. Однако остается ряд самых важных и сложных вопросов: «Каким образом в деятельности конкретной компании может быть осуществлено успешное управление развитием интеллектуального капитала?», «Какими показателями пользоваться и как их оценивать?» и др.
В данной статье автор хочет дать возможные ответы на эти и другие вопросы. Поделиться наработанным опытом создания системы управления развитием интеллектуального капитал компании ООО «Корона+». И хотя это далеко не единственный способ построения такой системы и более того он не лишен массы недостатков и заслуживает определенной критики. Тем не менее, он был успешно апробирован в деятельности данной компании и принес свой положительный результат.
Итак, работа в компании «Корона+» в данном направлении началась, после того как компания начала терять занятые рыночные позиции, она стала уступать конкурентам по качеству производимой продукции, по качеству ее монтажа, срокам изготовления и монтажа и другим показателям. Так как спектр проблем был очень широк компания почувствовала, что необходим как раз тот самый инновационный прорыв во всех областях: производственной, финансовой, маркетинговой, операционной и HR. Но как его осуществить? Понимая, что собственных специалистов в этой области у нее нет компания пригласила консультанта, который взялся за разработку и постановку такой системы. Конечно же при этом консультант не работал один, это был совместный труд со специалистами компании. Более того часто консультант играл роль фасилитатора – генератора конструктивного обсуждения. Однако в итоге такая работа дала исключительно положительные результаты.
Итак, сначала были предложены показатели, с помощью которых предполагалось отслеживать степень развития интеллектуального капитала в компании. Они представлены в таблице 1.
Таблица 1
Показатели оценки интеллектуального капитала компании «Корона+»
|
Наименование показателя |
Способ определения |
|
Стоимость интеллектуальной собственности |
По данным бухгалтерского учета |
|
Стоимость интеллектуального потенциала |
Сма* kв* kст, где Сма – стоимость материальных активов компании по данным бухгалтерского учета, kв – коэффициент, отражающий вероятность возникновения интеллектуального продукта, который повысит стоимость материальных и / или нематериальных активов. kст – коэффициент, учитывающий, на сколько может быть увеличена стоимость материальных и / или нематериальных активов компании за счет рождения нового интеллектуального продукта |
|
Убытки от аварий и отказов по вине персонала |
Стоимость убытков от аварий, отказов оборудования, связанных с прямой виной обслуживающего персонала |
|
Текучесть персонала |
n:N, где n- число уволенных работников, выбывших по причинам текучести (по собственному желанию, за прогулы, за нарушение техники безопасности, самовольный уход и т.п., т.е. причинам, не вызванным производственной или общегосударственной потребностью) N – среднесписочная численность |
Из данной таблицы видно, что только один показатель вызывает определенные вопросы по определению – «Стоимость интеллектуального потенциала» и в частности два его коэффициента – kв и kст. Для их определения была предложена следующая методика.
Коэффициент kв показывающий вероятность возникновения интеллектуального продукта, который повысит стоимость активов, предлагается определять на основе методов определения условной вероятности. Они в настоящее время хорошо проработаны.
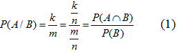
Считаем, что рождение интеллектуального продукта (событие А) невозможно без развития интеллектуального потенциала (событие В). Заранее известно, что событие B уже произошло, т.е. компания всегда имеет какой-либо интеллектуальный потенциал. Таким образом, В становится достоверным событием, а вероятность совершения события А некоторым образом меняется. В таком случае можно говорить об условной вероятности Р(А/В). Вероятность события А (появления интеллектуального продукта, который повысит стоимость активов компании) при условии, что событие В (формирование интеллектуального потенциала) уже произошло.
Пусть имеется всего n исходов, из них m исходов благоприятствуют появлению события B, т.е. развитию интеллектуального потенциала компании. При этом k исходов благоприятствуют появлению событий АÇВ, т.е. рождение интеллектуального продукта, повысившего активы компании за счет развития интеллектуального потенциала.
Таким образом, если событие B произошло, то количество всех возможных исходов m, из них благоприятствующих событию А (рождению интеллектуального продукта) будет k исходов [1,2].

Вероятность событий P(АÇВ) предлагается определять согласно классическому определению вероятности [145]:
![]()
где P(АÇВ) – вероятность возникновения события (АÇВ), иными словами, вероятность появления интеллектуального продукта за счет развитого интеллектуального потенциала;
qаÇв – число исходов, благоприятствующих возникновению события (АÇВ) или число теоретических и практических разработок компании, которые привели к увеличению активов.
QаÇв – общее число исходов или общее число теоретических и практических разработок компании.
Вероятность формирования события В (развития интеллектуального потенциала) рассматривается как объединение событий:
– вероятность того, что сотрудник в требуемой области знаний компетентен, обладает опытом работы, практическими навыками и т.д. (В1);
– вероятность того, что сотрудник обладает требуемыми личными качествами, лоялен компании и т.д. (В2);
– вероятность того, что способствовать развитию интеллектуального потенциала будут: корпоративная культура компании, системы управления, логистики, технологии и т.д. (B3).
Ее предлагается определять по следующей формуле [1,2]:

Чтобы не противоречить условиям задачи, вероятность события Р(В) (развития интеллектуального потенциала) не должна быть меньше вероятности возникновения события (АÇВ) или Р(В) ³ Р(АÇВ).
В свою очередь вероятности формирования событий В1, В2, В3 происходят под влиянием развития их составляющих С1i, С2i, С3i. Так как данные события независимы друг от друга, т.е. свершение одного не зависит от свершения другого, то имеет место вероятность независимых событий. Она определяется следующим образом [145]:
![]()
где P(C1i) – вероятность возникновения С1i – события, т.е. развития i-ой составляющей; l – количество составляющих данного показателя.
Их вероятность в свою очередь предлагается оценивать согласно классическому определению вероятности [145]:
![]()
Q1i – число исходов, благоприятствующих возникновению события С1i;
Q1i – общее число исходов.
Задача определения вероятностей возникновения событий С1i, С2i, С3i сводится к определению общего количества исходов и количества положительных исходов.
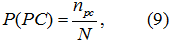
1) Вероятность того, что в требуемой области знаний сотрудник:
– компетентен, т.е. обладает требуемым набором профессиональных знаний. Определяется следующей формулой:
![]()
где nз – число сотрудников, обладающих требуемыми знаниями для своих рабочих мест, чел.
N – общее количество сотрудников предприятия или общее число опрашиваемых сотрудников, чел.
– обладает профессиональными навыками:
![]()
где nн – число сотрудников, обладающих требуемыми профессиональными навыками, чел.
– имеет личные разработки:
![]()
где nлр – число сотрудников, которые согласно результатов анкетирования, имеют личные разработки в требуемой области, чел.
– имеет личные и родственные связи:
![]()
где nрс – число сотрудников, имеющих личные, родственные связи в организациях, органах, интересы которых лежат в требуемой области, чел.
– имеет способности к обучению и самообучению
![]()
где nо – число сотрудников, имеющих согласно результатам психологического тестирования способности к обучению и самообучению, чел.
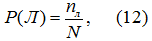
2) Вероятность того, что сотрудник:
– обладает требуемыми личными качествами, потенциальными личными способностями:
![]()
где nпс – число сотрудников, согласно результатам психологического тестирования, имеющих способности к творчеству, инновациям, чел.
– лоялен компании:
![]()
где nл – число сотрудников, согласно результатам анкетирования, лояльных, приверженных компании, ее ценностям, политике, достижениям и т.д., чел.
– обладает способностью к самомотивации:
![]()
где nсм – число сотрудников, согласно результатам психологического тестирования, способных к самомотивации и мотивации коллег, чел.
– продолжит работать в компании:
![]()
где nуп – количество постоянных сотрудников в компании за исследуемый период или численность компании за вычетом уволившихся за исследуемый период времени.
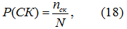
3) Вероятность того, что способствовать развитию интеллектуального потенциала будет:
– корпоративная культура компании
![]()
где nкк – число сотрудников, согласно результатам анкетирования или опросов, удовлетворенных сложившейся корпоративной культурой в компании, чел.
– система коммуникаций:
![]()
где nск – число сотрудников, согласно результатам анкетирования или опросов, удовлетворенных существующим уровнем развития систем коммуникации, чел.
– система управления или скорость принятия управленческих решений:
![]()
где R – общее число управленческих решений, принимаемых за исследуемый период;
rур – число управленческих решений, принятых в течении 1 рабочего дня с момента подачи подготовленной информации;
– процесс управления операциями:
![]()
где nск – число сотрудников, согласно результатам анкетирования или опросов, удовлетворенных качеством существующих операционных процессов, чел.
– действующая информационная система:
![]()
где nит – число сотрудников, согласно результатам анкетирования или опросов, удовлетворенных качеством развития информационных технологий в компании, чел.
– налаженная компанией связь с внешним миром:
![]()
где mнк – количество сфер и / или направлений деятельности, в которых у компании есть налаженные контакты и связи;
M – общее количество сфер и / или направлений деятельности, которые входят в спектр интересов компании.
– «корпоративная память» компании:
![]()
где kкпк – количество обращений к системам корпоративной памяти, которые привели к положительному результату в решении какой-либо задачи;
K – общее количество обращений к системам корпоративной памяти компании.
Для определения величины стоимости интеллектуального потенциала компании были определены подходы к расчету коэффициента kст. Он учитывает, насколько может быть увеличена стоимость материальных и / или нематериальных активов компании за счет появления нового интеллектуального продукта. Определение данного коэффициента для конкретного предприятия предлагается производить на основе анализа его прошлой деятельности по формуле:
![]()
где sип – стоимость интеллектуального продукта, появление которого в компании позволило увеличить активы.
S – сумма материальных и нематериальных активов компании.
Для компании «Корона+» было получено следующее значение kст = 0,03987.
Далее на основе детализации ответственности за выполнение показателей развития интеллектуального капитала (рис.1) была разработана система распределения ответственности за выполнение показателей развития интеллектуального капитала. Она представлена в табл. 2.

Рис. 1. Детализация ответственности за выполнение показателей развития интеллектуального капитала
Таблица 2
Распределение ответственности по подразделениям за выполнение показателей развития интеллектуального капитала компании «Корона+»
|
Показатели |
Ответственные исполнители подразделений* |
||||||||||
|
ОС |
ПО |
ПЦ |
ОУП |
ЭО |
ФО |
Б |
ЮО |
IT |
ОМ |
ОП |
|
|
Стоимость интеллектуальной собственности |
|
|
|
|
|
|
х |
х |
|
|
|
|
Стоимость интеллектуального потенциала |
х |
х |
х |
х |
х |
х |
х |
х |
х |
х |
х |
|
Убытки от аварий и отказов по вине персонала |
|
х |
х |
|
|
|
|
|
|
|
|
|
Текучесть персонала |
х |
х |
х |
х |
х |
х |
х |
х |
х |
х |
х |
* Условные обозначения: ОС – отдел снабжения, ПО – производственный отдел, ПЦ – производственные цеха (подразделения), ОУП – отдел управления персоналом, ЭО – экономический отдел, ФО – финансовый отдел, Б – бухгалтерия, ЮО – юридический отдел, IT – отдел информационных технологий, ОМ – отдел маркетинга, ОП – отдел продаж.
Для организации контроля выполнения показателей на уровне ответственных исполнителей ООО «Корона+» были внедрены разработанные формы отчетности, которые приведены в табл. 3. Отметим, что по ряду показателей не может быть установлено плановое (целевое) задание, соответственно такие клетки отмечены знаком «х». Существует ряд показателей, задание по которым устанавливается в виде текстовой задачи.
Используя данную форму управленческого контроля и предложенную выше методику оценки компания вела постоянный мониторинг за эффективностью разработанных и реализуемых мероприятий по развитию интеллектуального капитала.
Предложенная методика может показаться читателю несколько громоздкой, однако на практике используя известный всем офисный продукт Excel удалось свести к минимуму трудоемкость формирования данных таблиц.
Таблица 3
Форма управленческого контроля развития интеллектуального капитала ООО «Корона+» за 2009 год
|
И: «Интеллектуальный капитал» |
||||||||
|
Наименование показателя |
Ответ-ствен. |
Задание |
Факти-ческое исполне-ние |
Откл. |
Трактовка отклонения (Б – благоприятно, Н – неблагопр. |
Формула для расчета |
Примечание |
|
И1 |
Стоимость интеллектуального потенциала, тыс.руб |
ОК |
18600 |
17320 |
-280 |
Н |
|
|
|
И1.1 |
Развитие «корпоративной памяти компании» |
ПЦ |
|
|
|
|
|
|
И1.1.1 |
Вероятность того, что способствовать развитию интеллектуального потенциала будет«корпоративная память» компании |
|
0,3 |
0,4 |
+0,1 |
Б |
|
где kкпк – количество обращений к системам корпоративной памяти, которые привели к положительному результату в решении какой-либо задачи; K – общее количество обращений к системам корпоративной памяти компании. |
|
И1.2 |
НИОКР |
ПЦ |
0,2 |
0,4 |
+0,2 |
Б |
|
Где Сниокр – общие затраты на НИОКР, сниокр – затраты на НИОКР, которые закончились разработкой инновационного продукта |
|
И1.3 |
Развитие человеческого потенциала |
все |
|
|
|
|
|
|
|
И1.3.1 |
Результативность реализации мероприятий, направленных на профессиональное развитие сотрудников |
все |
|
|
|
|
|
|
|
И1.3.1.1 |
Вероятность того, что в требуемой области знаний сотрудник компетентен |
все |
0,8 |
0,8 |
0 |
Б |
|
где nз – число сотрудников, обладающих требуемыми знаниями для своих рабочих мест, чел. N – общее количество сотрудников предприятия или общее число опрашиваемых сотрудников, чел. |
|
И1.3.1.2 |
Вероятность того, что в требуемой области знаний сотрудник обладает профессиональными навыками |
все |
0,9 |
0,85 |
-0,05 |
Н |
|
где nн – число сотрудников, обладающих требуемыми профессиональными навыками, чел. |
|
И1.3.1.3 |
Вероятность того, что в требуемой области знаний сотрудник имеет личные разработки |
все |
0,2 |
0,1 |
-0,1 |
Н |
|
где nлр – число сотрудников, согласно результатам анкетирования или бесед, имеющих личные разработки в требуемой области знаний, чел. |
|
И1.3.1.4 |
Вероятность того, что в требуемой области знаний сотрудник имеет личные и родственные связи |
все |
0,2 |
0,1 |
-0,1 |
Н |
|
где nрс – число сотрудников, имеющих личные, родственные связи в организациях, органах, интересы которых лежат в требуемой области знаний, чел. |
|
И1.3.1.5 |
Вероятность того, что в требуемой области знаний сотрудник имеет способности к обучению и самообучению |
все |
0,5 |
0,6 |
0,1 |
Б |
|
где nо – число сотрудников, имеющих согласно результатам психологического тестирования способности к обучению и самообучению, чел. |
|
И1.3.2 |
Результативность реализации мероприятий, направленных на личностное развитие сотрудников |
все |
|
|
|
|
|
|
|
И1.3.2.1 |
Вероятность того, что сотрудник обладает требуемыми личными качествами, потенциальными личными способностями |
все |
0,5 |
0,7 |
0,2 |
Б |
|
где nпс – число сотрудников, имеющих, согласно результатам психологического тестирования, способности к творчеству, инновациям, чел. |
|
И1.3.2.2 |
Вероятность того, что сотрудник лоялен компании |
все |
0,9 |
0,9 |
0 |
Б |
|
где nл – число сотрудников, согласно результатам анкетирования, лояльных, приверженных компании, ее ценностям, политике, достижениям и т.д., чел. |
|
И1.3.2.3 |
Вероятность того, что сотрудник обладает способностью к самомотивации |
все |
0,7 |
0,6 |
-0,1 |
Н |
|
где nсм – число сотрудников, согласно результатам психологического тестирования способных к самомотивации и мотивации коллег, чел. |
|
И1.3.2.4 |
Вероятность того, что сотрудник продолжит работать в компании |
все |
0,95 |
0,97 |
0,03 |
Б |
|
где nуп – количество постоянных сотрудников в компании за какой-либо период, чел. или общая численность компании за вычетом уволившихся за исследуемый период времени. |
|
И1.4 |
Развитие инфраструктурного потенциала |
все |
|
|
|
|
|
|
|
И1.4.1 |
Реализация мероприятий, направленных на поддержку рождения интеллектуальных продуктов |
все |
|
|
|
|
|
|
|
И1.4.1.1 |
Вероятность того, что способствовать развитию интеллектуального потенциала будет корпоративная культура компании |
все |
0,9 |
0,9 |
0 |
Б |
|
где nкк – число сотрудников, согласно результатам анкетирования или опросам удовлетворенных сложившейся корпоративной культурой в компании, чел. |
|
И1.4.1.2 |
Вероятность того, что способствовать развитию интеллектуального потенциала будет система коммуникаций |
все |
0,9 |
0,9 |
0 |
Б |
|
где nск – число сотрудников, согласно результатам анкетирования или опросам, которые удовлетворены существующим уровнем развития систем коммуникаций, чел. |
|
И1.4.1.3 |
Вероятность того, что способствовать развитию интеллектуального потенциала будут управленческие процессы или скорость принятия управленческих решений |
все |
1 |
0,95 |
-0,05 |
Н |
|
где R – общее число управленческих решений, принимаемых за исследуемый период; rур – число управленческих решений, принятых в течении 1 рабочего дня с момента подачи подготовленной информации; |
|
И1.4.1.4 |
Вероятность того, что способствовать развитию интеллектуального потенциала будут операционные процессы |
все |
0,8 |
0,85 |
0,05 |
Б |
|
где nоп – число сотрудников, согласно результатам анкетирования или опросам, которые удовлетворены качеством существующих операционных процессов, чел. |
|
И1.4.1.5 |
Вероятность того, что способствовать развитию интеллектуального потенциала будут информационные технологии: |
все |
0,6 |
0,4 |
-0,2 |
Н |
|
где nит – число сотрудников, согласно результатам анкетирования или опросам, которые удовлетворены качеством развития информационных технологий в компании, чел. |
|
И1.4.1.6 |
Вероятность того, что способствовать развитию интеллектуального потенциала будут налаженные компанией контакты и связи |
все |
0,6 |
0,8 |
0,2 |
Б |
|
где mнк – количество сфер и / или направлений деятельности, в которых у компании есть налаженные контакты и связи; M – общее количество сфер и / или направлений деятельности, которые входят в спектр интересов компании. |
|
И2 |
Стоимость интеллектуальной собственности |
Б |
0,004 |
0,004 |
0 |
Б |
|
где сис – доля стоимости интеллектуальной собственности в МА компании; Сис – стоимость интеллектуальной собственности компании; Са – стоимость материальных активов и нематериальных активов |
|
И3 |
Убытки от аварий и отказов по вине персонала, тыс.руб/чел. |
ПЦ |
х |
2,4 |
- |
Н |
|
Где сущ – удельная величина, отражающая сумму убытков на 1 сотрудника за исследуемый период, Сущ – стоимостная оценка ущерба по вине персонала; N – среднесписочная численность работников, чел. |
|
И3.1 |
Установление причины аварии или отказа |
ПЦ |
х |
|
|
|
|
Установлена вина обслуживающего персонала сушки |
|
И3.2 |
Стоимостная оценка ущерба, тыс.руб |
ОЭ |
х |
122,4 |
- |
Н |
|
|
|
И4 |
Текучесть персонала, % |
ОК |
5 |
3 |
-2 |
Б |
|
где nув – количество уволенных сотрудников за вычетом сотрудников, которые уволились сами по не зависящим от них обстоятельствам (переезд в другой город, страну и т.д.); N – среднесписочная численность сотрудников, чел. |
|
И4.1 |
Количество уволенных, чел |
все |
3 |
2 |
-1 |
Б |
|
|
|
И4.2 |
Среднесписочная численность |
ОК |
53 |
51 |
-2 |
Н |
|
|
Таким образом, по итогам работы компании по предложенной системе в течении 3-х лет (2008-2010 гг) удалось резко повысить инновационную активность персонала за счет реализации целенаправленных мероприятий. Разработка именно целенаправленных мероприятий была обусловлена внедренной предложенной системой. Т.е. мероприятии были направлены на улучшения конкретных показателей, которые определяют степень развития интеллектуального капитала.
Стоит также отметить, что стоимость интеллектуального капитала за обозначенных период выроста на 176%, а совокупный экономический эффект составил более 127 млн.руб.
Список использованной литературы:
1. Н.И.Чернова Теория вероятности: учебное пособие / СибГУТИ, Новосибирск, 2009г.
2. Багриновский К.А., Матюшок В.М. Экономико-математические методы и модели (микроэкономика) / РУДН, М.: 1999г.
List of the utilised literature:
1. N.I. Chernova A law of Probability: the manual / GUTI, Novosibirsk, 2009.
2. С.А. Bagrinovskiy, V.M. Matushok Economic-mathematical methods and models / RUDN, M.: 1999.


