Предлагаемый подход к оценке интеллектуального капитала в энергетике
Мансуров Руслан Евгеньевич,
кандидат экономических наук,
старший преподаватель кафедры «Экономики и организации производства» Казанского
государственного энергетического университета
Вопросы развития интеллектуального капитала являются исключительно актуальными в условиях модернизирующейся экономики и предприятия энергетики не являются в этом исключением. Наоборот, на энергетических предприятиях, где важным является фактор надежности работы оборудования и сохраняется значительная доля «человеческого фактора» вопросы развития персонала приобретают особую актуальность. В тоже время современная наука и практика до настоящего времени не выработала единого мнения по поводу определения экономической сущности понятий «интеллектуальный капитал и интеллектуальный потенциал». Не разработаны и единые подходы к оценке данных категорий. Вместе с тем разработка таких подходов является весьма актуальной, т.к. не возможно управлять тем, чего нельзя измерить.
В данной статье кратко изложены результаты исследования понятийного аппарата, а также приведена предлагаемая методика оценки стоимости интеллектуального капитала.
В настоящее время существует много определений понятий «интеллектуальный капитал» и «интеллектуальный потенциал». Автором был проведен анализ более 30 источников. Результаты данного исследования представлены в монографии «Управление интеллектуальным капиталом предприятия. Теория, методология, практика» [1].
В качестве наиболее известных и наиболее точных с точки зрения экономической сущности можно выделить определение, данное Э.Бруккинг: «интеллектуальный капитал - это термин для обозначения нематериальных активов, без которых компания не может существовать, усиливая конкурентные преимущества. Составными частями интеллектуального капитала являются: человеческие активы, интеллектуальная собственность, инфраструктурные и рыночные активы. Под человеческими активами подразумевается совокупность коллективных знаний сотрудников предприятия, их творческих способностей, умения решать проблемы, лидерских качеств, предпринимательских и управленческих навыков» [2].
Однако это определение также как и ряд других не лишено недостатков с позиции рассматриваемой автором проблемы. Среди наиболее существенных предлагается выделить:
1) Чаще всего интеллектуальный капитал рассматривается только как нематериальные активы компании (Бруккинг Э., Sanchez, P., Prahalad, C.).
2) Не рассматривают в качестве основной составляющей интеллектуального капитала интеллектуальный потенциал и не учитывают их взаимосвязь. (Richard, P., Stewart, T.A., Caddy, I., Edvinsson, L., Roslender, R., Rodov, I.).
3) В ряде случаев рассматривают в качестве носителей интеллектуального капитала только сотрудников компании, не учитывая прочие составляющие. Такие как «корпоративная память», интеллектуальная собственность и т.д. (Richard, P., Stewart, T.A.).
Таким образом, автором предлагается следующее определение, которое учитывает данные недостатки и может быть применено к деятельности энергетического предприятия: «интеллектуальный капитал энергетической компании – это совокупность интеллектуального потенциала и интеллектуальной собственности компании, выраженная в денежной форме, которая обеспечивает инновационность развития с целью повышения экономической эффективности, усиления конкурентных преимуществ и повышения надежности потребителей».
Исходя их данного определения, предлагается понимать, что основой для развития интеллектуального капитала энергетической компании является ее интеллектуальный потенциал. При этом само название «интеллектуальный потенциал» говорит о вероятностном характере данной категории. Следовательно, развитие интеллектуального потенциала энергетической компании является обязательным условием увеличения стоимости ее интеллектуального капитала, но на 100% не гарантирующим его рост.
Таким образом, предлагается следующая формула для оценки стоимости интеллектуального капитала энергетической компании:
![]()
где Сик – стоимость интеллектуального капитала;
Сип – стоимость интеллектуального потенциала;
Сис – стоимость интеллектуальной собственности или нематериальных активов компании.
Наибольшую трудность при определении стоимости компании по данной методике вызывает стоимость интеллектуального потенциала. Ее предлагается определять следующим образом:
![]()
где kв – коэффициент, отражающий вероятность возникновения интеллектуального продукта, который повысит стоимость материальных и / или нематериальных активов.
kст – коэффициент, учитывающий насколько может быть увеличена стоимость материальных и / или нематериальных активов компании за счет появления нового интеллектуального продукта.
Таким образом, задача сводится к определению этих коэффициентов.
Предлагается следующий подход к пониманию сути процесса появления интеллектуального продукта в энергетической компании, который повысит стоимость материальных и/или нематериальных активов (рис. 1).
Коэффициент, показывающий вероятность возникновения интеллектуального продукта, который повысит стоимость активов, предлагается определять на основе методов определения условной вероятности. Они в настоящее время хорошо проработаны.

Рис. 1. Механизм появления интеллектуального продукта в энергетической компании
Считаем, что рождение интеллектуального продукта (событие А) невозможно без развития интеллектуального потенциала (событие В). Заранее известно, что событие B уже произошло, т.е. энергетическая компания всегда имеет какой-либо интеллектуальный потенциал. Таким образом, В становится достоверным событием, а вероятность совершения события А некоторым образом меняется. В таком случае можно говорить об условной вероятности Р(А/В). Вероятность события А (появления интеллектуального продукта, который повысит стоимость активов компании) при условии, что событие В (формирование интеллектуального потенциала) уже произошло [3].
Пусть имеется всего n исходов, из них m исходов благоприятствуют появлению события B, т.е. развитию интеллектуального потенциала энергетической компании. При этом k исходов благоприятствуют появлению событий АÇВ, т.е. рождение интеллектуального продукта, повысившего активы компании за счет развития интеллектуального потенциала (рис. 2).
Таким образом, если событие B произошло, то количество всех возможных исходов m, из них благоприятствующих событию А (рождению интеллектуального продукта) будет k исходов.

Вероятность событий P(АÇВ) предлагается определять согласно классическому определению вероятности [3]:
![]()
где P(АÇВ) – вероятность возникновения события (АÇВ), иными словами, вероятность появления интеллектуального продукта за счет развитого интеллектуального потенциала;

Рис. 2. Вероятностный механизм появления интеллектуального продукта в энергетической компании
qаÇв – число исходов, благоприятствующих возникновению события (АÇВ) или число теоретических и практических разработок энергетической компании, которые привели к увеличению активов.
QаÇв – общее число исходов или общее число теоретических и практических разработок энергетической компании.
Вероятность формирования события В (развития интеллектуального потенциала) рассматривается как объединение событий (рис. 2):
– вероятность того, что сотрудник в требуемой области знаний компетентен, обладает опытом работы, практическими навыками и т.д. (В1);
– вероятность того, что сотрудник обладает требуемыми личными качествами, лоялен компании и т.д. (В2);
– вероятность того, что способствовать развитию интеллектуального потенциала будут: корпоративная культура компании и системы управления, (B3).
Ее предлагается определять по следующей формуле:

Чтобы не противоречить условиям задачи, вероятность события Р(В) (развития интеллектуального потенциала) не должна быть меньше вероятности возникновения события (АÇВ) или Р(В) ³ Р(АÇВ).
В свою очередь вероятности формирования событий В1, В2, В3 происходят под влиянием развития их составляющих С1i, С2i, С3i. Так как данные события независимы друг от друга, т.е. свершение одного не зависит от свершения другого, то имеет место вероятность независимых событий. Она определяется следующим образом [3]:
![]()
где P(C1i) – вероятность возникновения С1i – события, т.е. развития i-ой составляющей; l – количество составляющих данного показателя.
Их вероятность в свою очередь предлагается оценивать согласно классическому определению вероятности [3]:
![]()
Q1i – число исходов, благоприятствующих возникновению события С1i;
Q1i – общее число исходов.
Задача определения вероятностей возникновения событий С1i, С2i, С3i сводится к определению общего количества исходов и количества положительных исходов.
1) Вероятность того, что в требуемой области знаний сотрудник:
– компетентен, т.е. обладает требуемым набором профессиональных знаний. Определяется следующей формулой:
![]()
где nз – число сотрудников, обладающих требуемыми знаниями для своих рабочих мест, чел.
N – общее количество сотрудников энергетического предприятия или общее число опрашиваемых сотрудников, чел.
– обладает профессиональными навыками:
![]()
где nн – число сотрудников, обладающих требуемыми профессиональными навыками, чел.
– имеет личные разработки:
![]()
где nлр – число сотрудников, которые согласно результатов анкетирования, имеют личные разработки в требуемой области, чел.
– имеет личные и родственные связи:
![]()
где nрс – число сотрудников, имеющих личные, родственные связи в организациях, органах, интересы которых лежат в области интересов энергетической компании, чел.
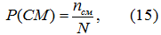
– имеет способности к обучению и самообучению
![]()
где nо – число сотрудников, имеющих согласно результатам психологического тестирования способности к обучению и самообучению, чел.
2) Вероятность того, что сотрудник:
– обладает требуемыми личными качествами, потенциальными личными способностями:
![]()
где nпс – число сотрудников, согласно результатам психологического тестирования, имеющих способности к творчеству, инновациям, чел.
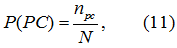
– лоялен компании:
![]()
где nл – число сотрудников, согласно результатам анкетирования, лояльных, приверженных компании, ее ценностям, политике, достижениям и т.д., чел.
– обладает способностью к самомотивации:
![]()
где nсм – число сотрудников, согласно результатам психологического тестирования, способных к самомотивации и мотивации коллег, чел.
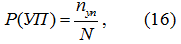
– продолжит работать в компании:
![]()
где nуп – количество постоянных сотрудников в энергетической компании за исследуемый период или численность сотрудников энергетической компании за вычетом уволившихся за исследуемый период времени.
3) Вероятность того, что способствовать развитию интеллектуального потенциала будет:
– корпоративная культура компании
![]()
где nкк – число сотрудников, согласно результатам анкетирования или опросов, удовлетворенных сложившейся корпоративной культурой в компании, чел.
– система коммуникаций:
![]()
где nск – число сотрудников, согласно результатам анкетирования или опросов, удовлетворенных существующим уровнем развития систем коммуникации, чел.
– система управления или скорость принятия управленческих решений:
![]()
где R – общее число управленческих решений, принимаемых за исследуемый период;
rур – число управленческих решений, принятых в течении 1 рабочего дня с момента подачи подготовленной информации;
– процесс управления операциями:
![]()
где nск – число сотрудников, согласно результатам анкетирования или опросов, удовлетворенных качеством существующих операционных процессов, чел.
– действующая информационная система:
![]()
где nит – число сотрудников, согласно результатам анкетирования или опросов, удовлетворенных качеством развития информационных технологий в энергетической компании, чел.
– налаженная энергетической компанией связь с внешним миром:
![]()
где mнк – количество сфер и / или направлений деятельности, в которых у компании есть налаженные контакты и связи;
M – общее количество сфер и / или направлений деятельности, которые входят в спектр интересов компании.
– «корпоративная память» компании:
![]()
где kкпк – количество обращений к системам корпоративной памяти, которые привели к положительному результату в решении какой-либо задачи;
K – общее количество обращений к системам корпоративной памяти компании.
Для определения величины стоимости интеллектуального потенциала энергетической компании были определены подходы к расчету коэффициента kст. Он учитывает, насколько может быть увеличена стоимость материальных и / или нематериальных активов энергетической компании за счет появления нового интеллектуального продукта. Определение данного коэффициента для конкретного предприятия предлагается производить на основе анализа его прошлой деятельности по формуле:
![]()
где sип – стоимость интеллектуального продукта, появление которого в компании позволило увеличить активы.
S – сумма материальных и нематериальных активов компании.
При возникновении трудностей в применении указанного подхода, связанных с отсутствием формализованного опыта анализа инновационной деятельности, предлагается другой подход. Он основан на анализе отраслевой специфики предприятий энергетического комплекса и является усредненным. Предлагается следующая формула:

где sниокр – стоимость затрат на внутренние исследования и разработки в энергетической отрасли.
Sо – стоимость основных фондов в энергетической отрасли.
Для энергетического комплекса Республики Татарстан, используя статистические данные за 2000-2009гг. [4-8], было получено следующее значение kст = 0,04136. Следует понимать, что данный показатель имеет среднее по энергетической отрасли значение, следовательно, результаты от его применения будут носить усредненный характер.
В целом предлагаемая методика, используя определенные допущения, позволяет получить стоимостную оценку величины интеллектуального капитала. Эта величина в дальнейшем может быть использована при оценке стоимости энергетической компании. С другой стороны предлагаемый подход позволяет оценивать вероятность рождения инновационного продукта в энергетической компании, а также обеспечивает возможность мониторинга и как следствие управления процессом развития интеллектуального капитала энергетической компании.
Список литературы
1. Мансуров Р.Е. Управление интеллектуальным капиталом предприятия. Теория, методология, практика. // Изд-во «LAP LAMBERT Academic Publishing», Saarbrücken, Germany, 2011г., 164стр. (6,3 п.л.)
2. Брукинг, Э. Интеллектуальный капитал: ключ к успеху в новом тысячелетии / Э.Брукинг; пер. с англ; под ред. Л.Н. Ковачина. – СПб.: Питер, 2001 – с.288.
3. Чернова, Н.И. Теория вероятности: учебное пособие / Н.И.Чернова.– Новосибирск: СибГУТИ, 2009.
4. Регионы России: социально-экономические показатели: стат.сб. –М.: Росстат, 2008.
5. Российский статистический ежегодник: стат.сб. – М.: Росстат, 2005.
6. Российский статистический ежегодник: стат.сб. – М.: Росстат, 2006.
7. Российский статистический ежегодник: стат.сб. – М.: Росстат, 2008.
8. Российский статистический ежегодник: стат.сб. – М.: Росстат, 2009.

